| 索引号: |
001218042/202603-00008 |
信息分类: |
管理和使用情况(惠农资金分配) |
| 内容分类: |
其他,综合政务 |
发布机构: |
葛集镇人民政府 |
| 成文日期: |
2026-03-11
|
发布时间: |
2026-03-11 10:44 |
| 文号: |
|
有效性: |
有效
|
| 废止时间: |
暂无 |
关键词: |
|
| 名称: |
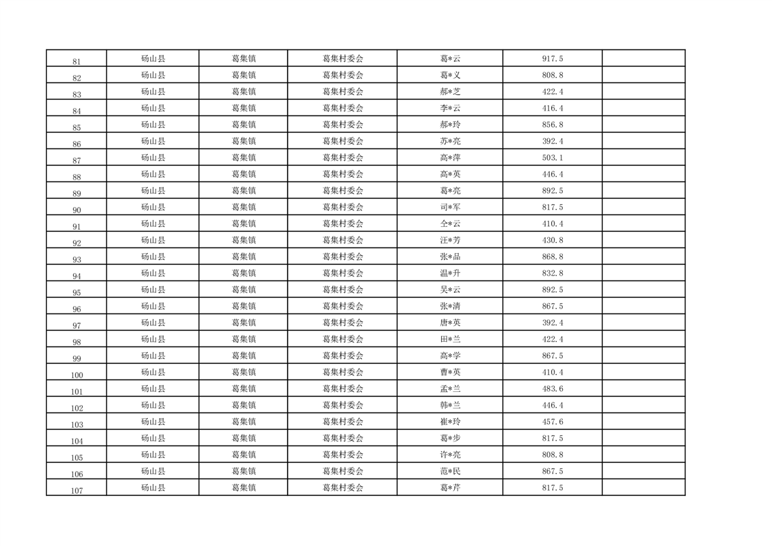
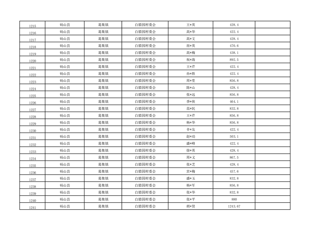
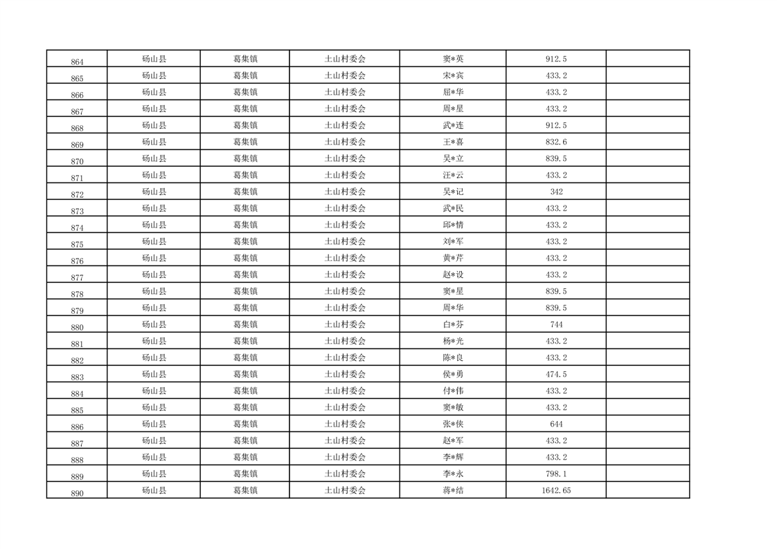
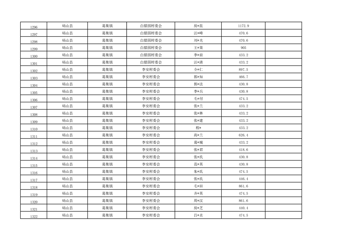
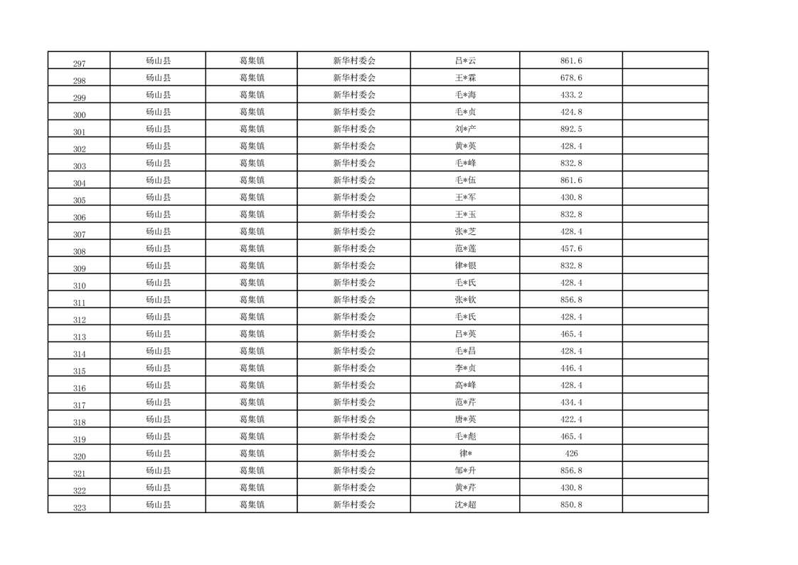
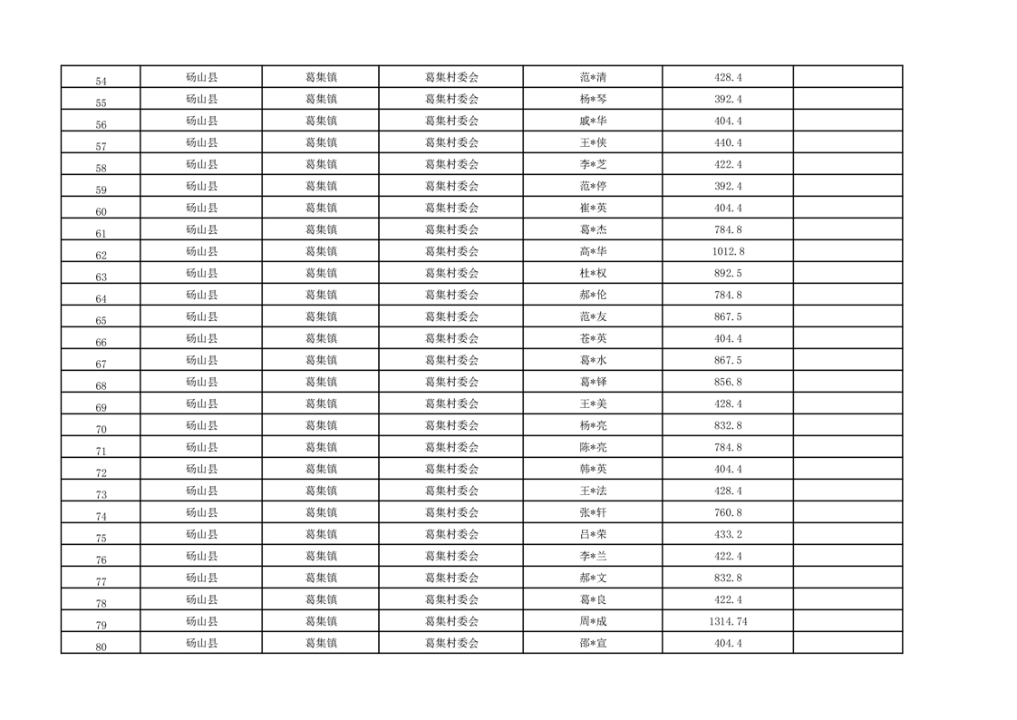
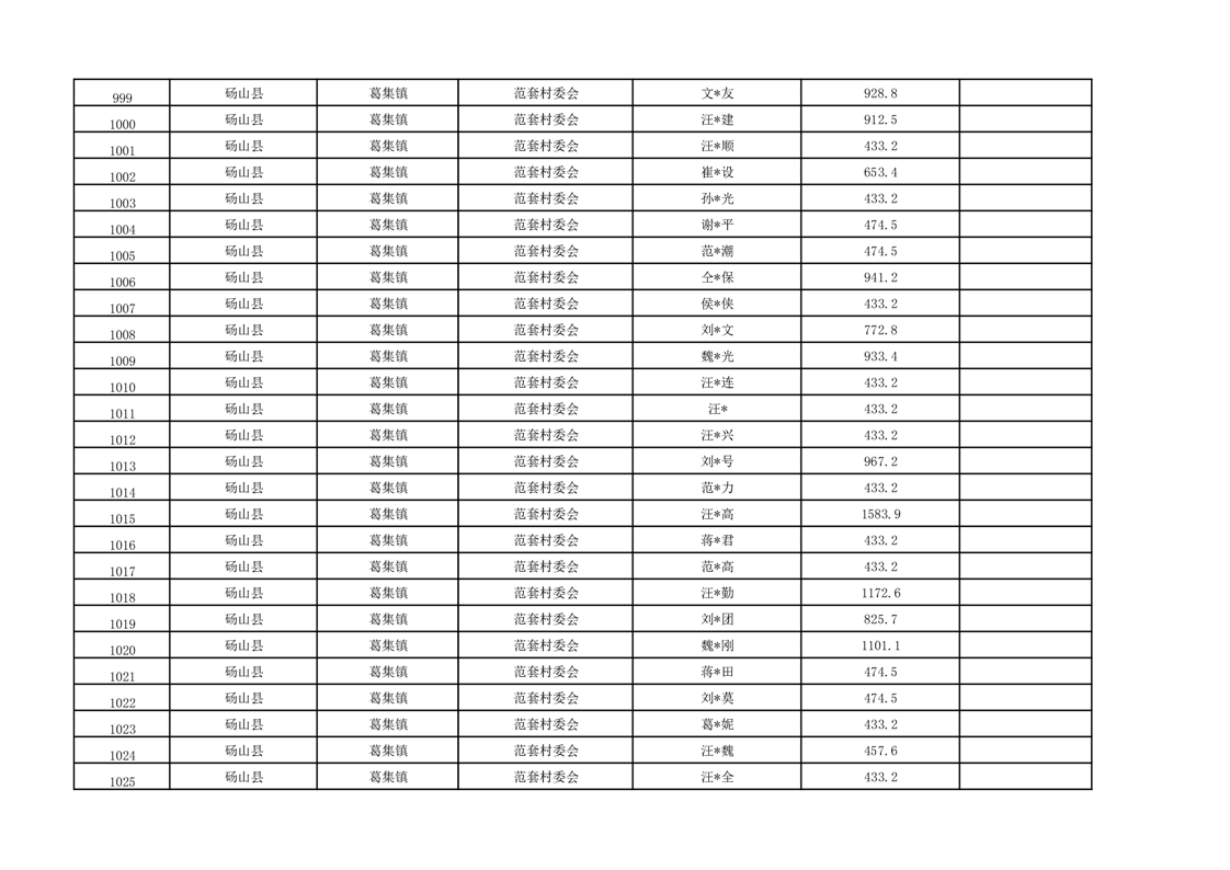
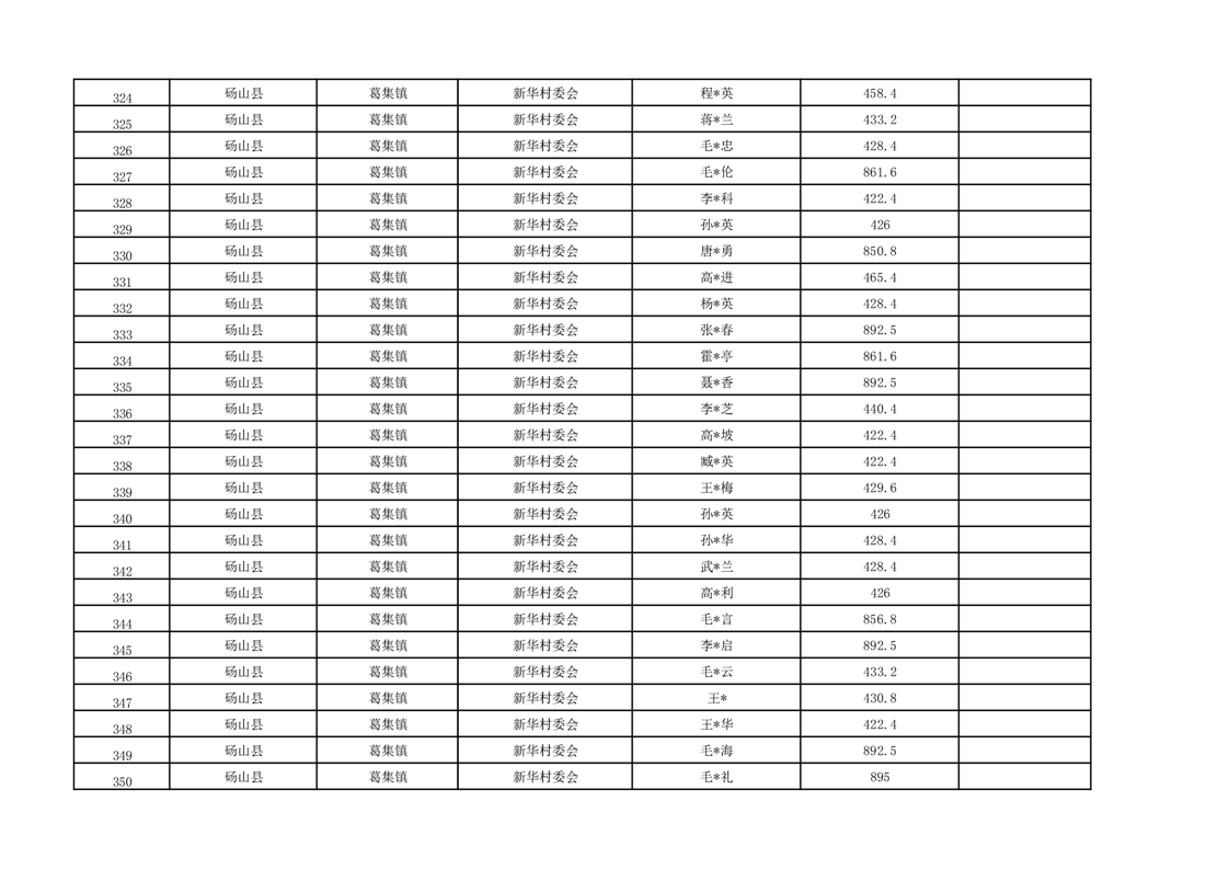
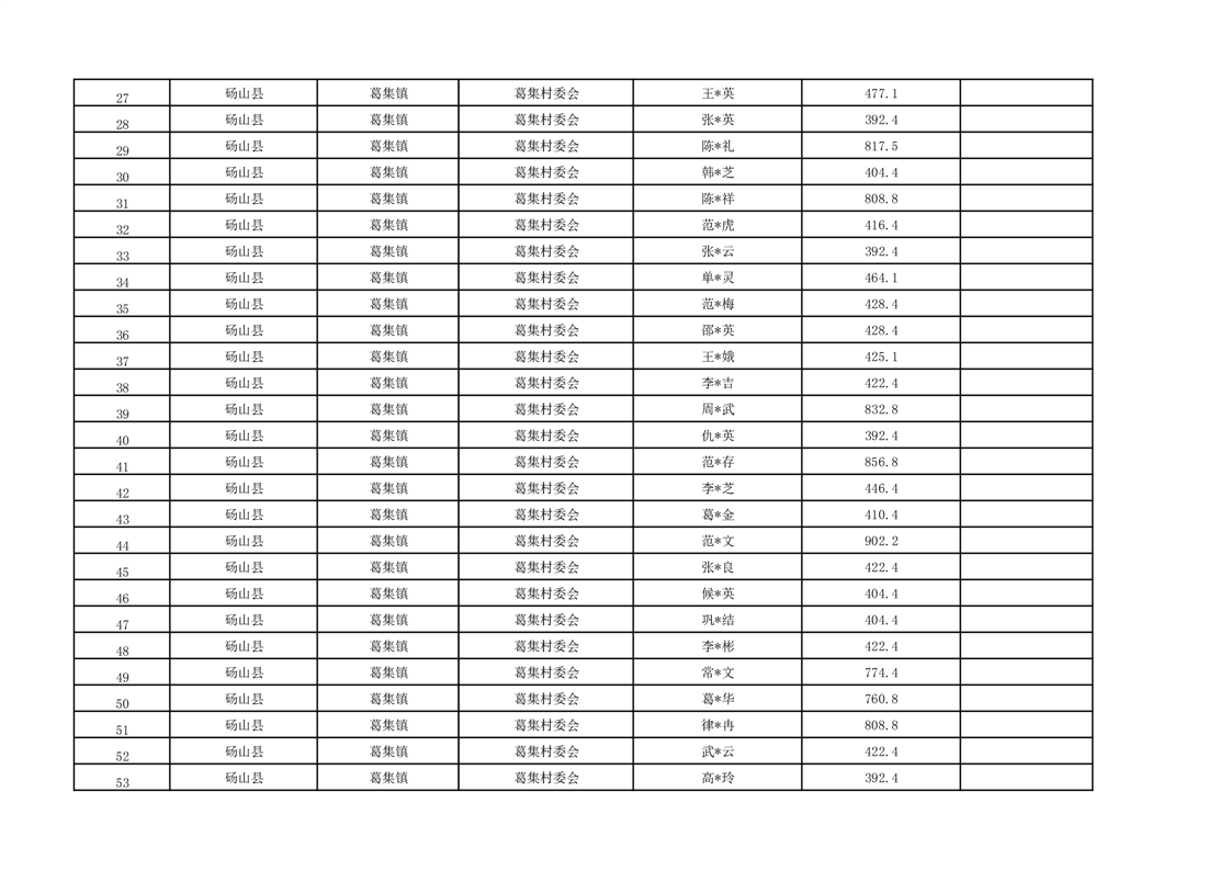
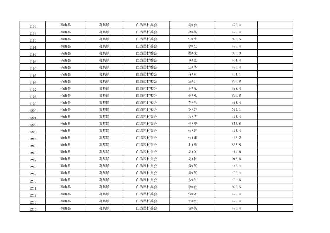
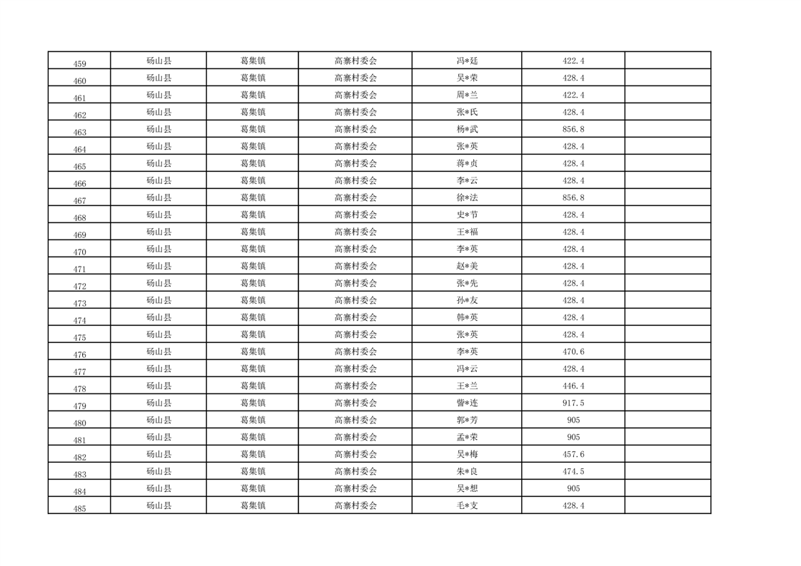
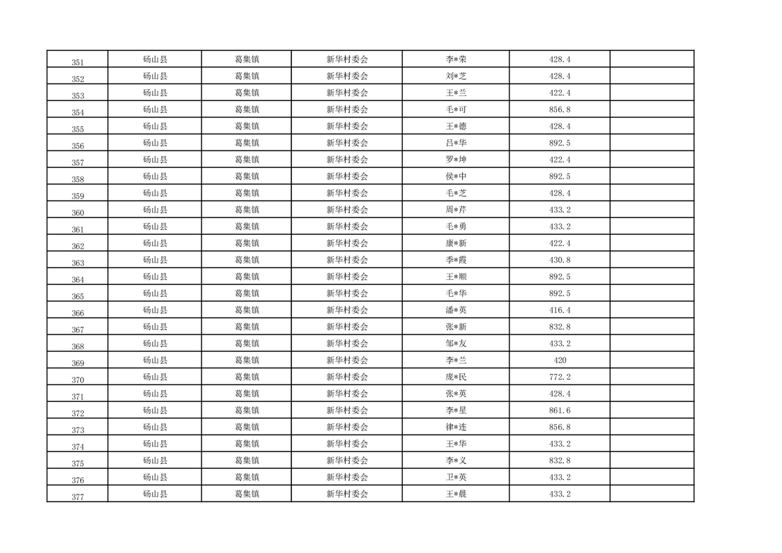
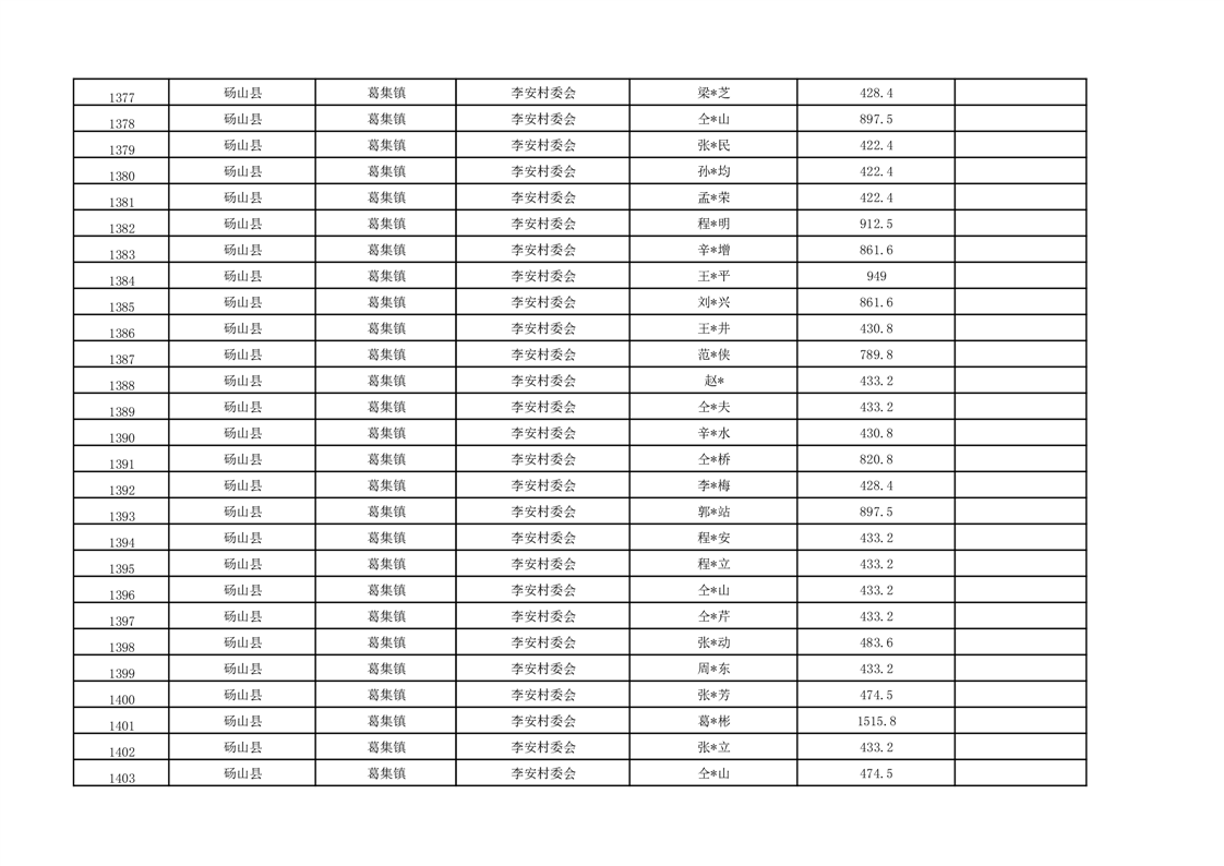
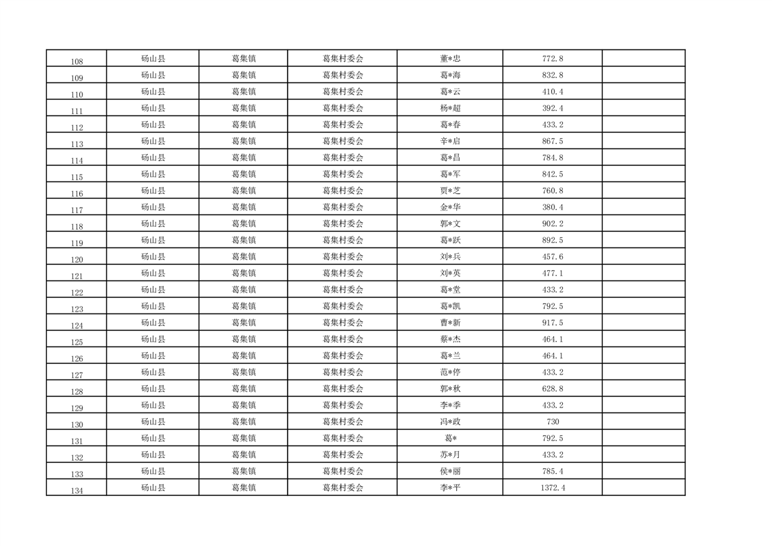
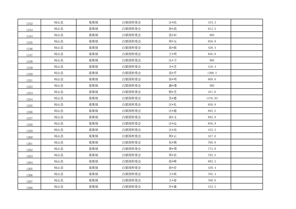
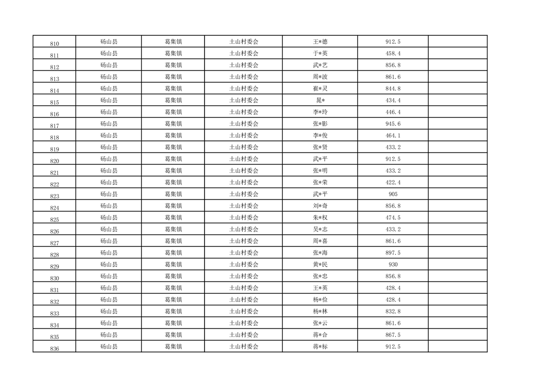
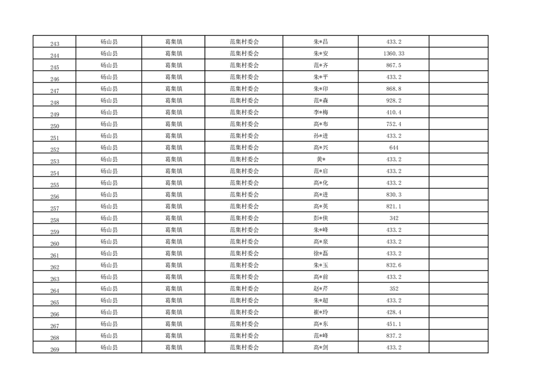
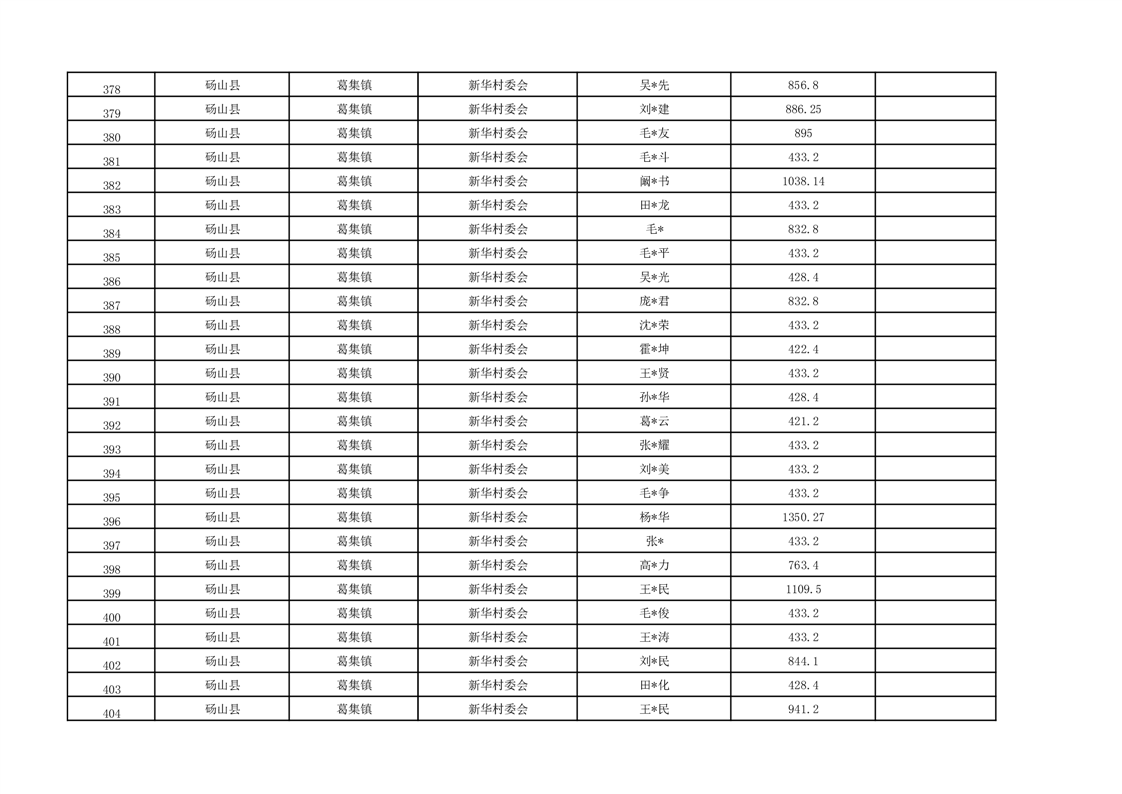
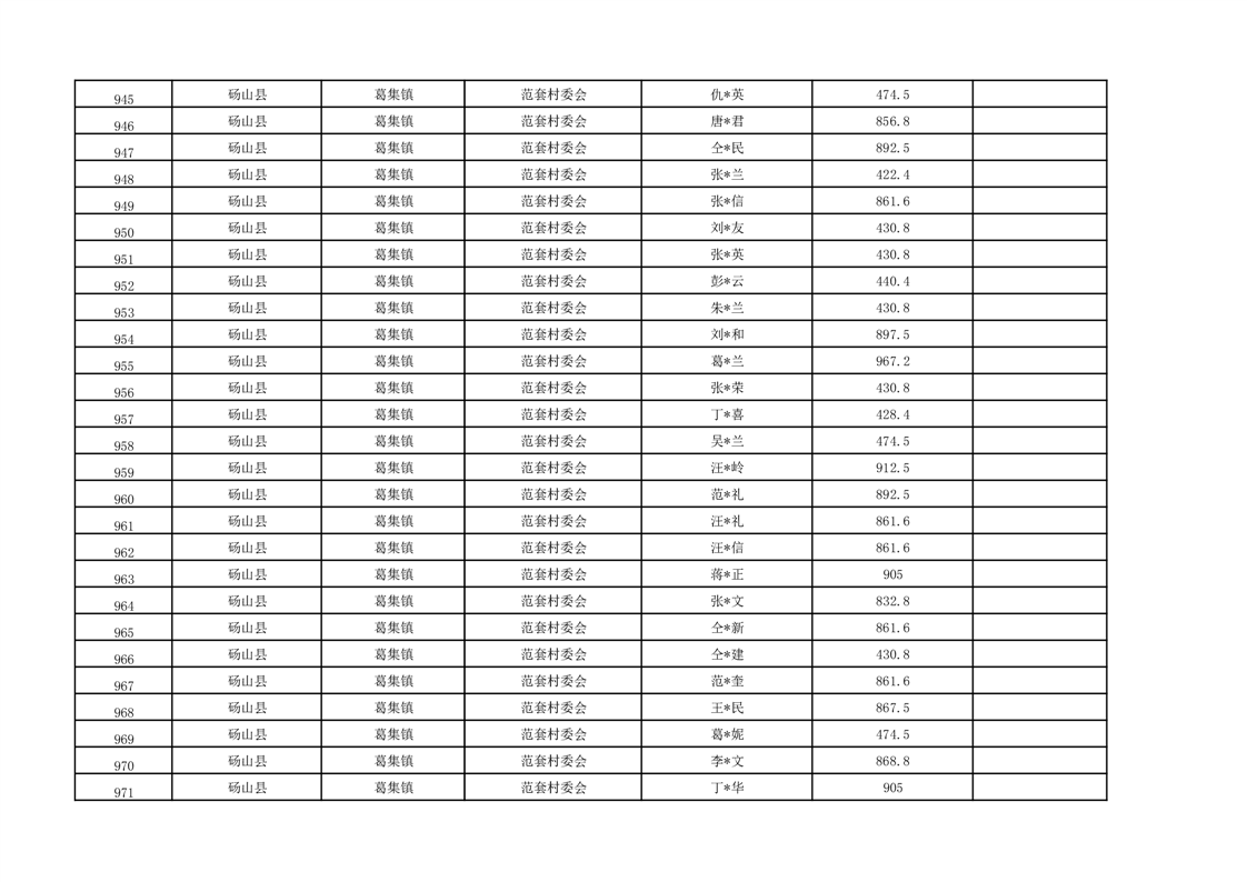
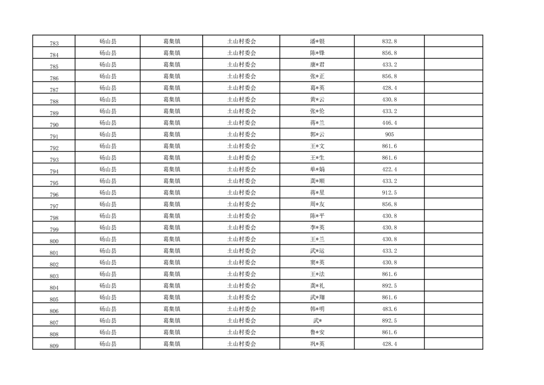
葛集镇2026年2月农村低保资金发放花名册 |
| 索引号: |
001218042/202603-00008 |
| 信息分类: |
管理和使用情况(惠农资金分配) |
| 内容分类: |
其他,综合政务 |
| 发布机构: |
葛集镇人民政府 |
| 成文日期: |
2026-03-11
|
| 发布时间: |
2026-03-11 10:44 |
| 文号: |
|
| 有效性: |
有效
|
| 废止时间: |
暂无 |
| 关键词: |
|
| 名称: |
葛集镇2026年2月农村低保资金发放花名册 |
葛集镇2026年2月农村低保资金发放花名册
文章来源: 葛集镇人民政府浏览量:发表时间:2026-03-11 10:44