| 索引号: |
001218042/202511-00005 |
信息分类: |
财政专项资金清单 |
| 内容分类: |
其他,综合政务 |
发布机构: |
葛集镇人民政府 |
| 成文日期: |
2025-11-13
|
发布时间: |
2025-11-13 09:07 |
| 文号: |
|
有效性: |
有效
|
| 废止时间: |
暂无 |
关键词: |
|
| 名称: |
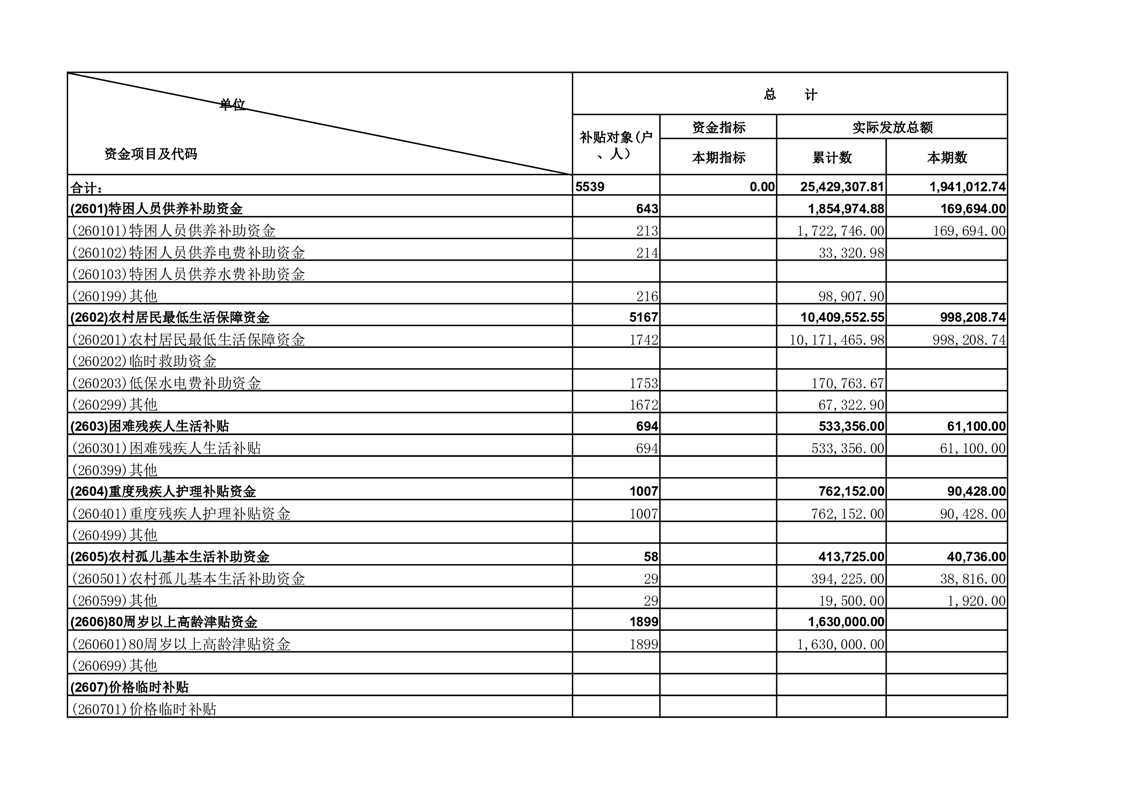
安徽省葛集镇2025年10月份财政惠民惠农补贴资金月报表 |
| 索引号: |
001218042/202511-00005 |
| 信息分类: |
财政专项资金清单 |
| 内容分类: |
其他,综合政务 |
| 发布机构: |
葛集镇人民政府 |
| 成文日期: |
2025-11-13
|
| 发布时间: |
2025-11-13 09:07 |
| 文号: |
|
| 有效性: |
有效
|
| 废止时间: |
暂无 |
| 关键词: |
|
| 名称: |
安徽省葛集镇2025年10月份财政惠民惠农补贴资金月报表 |
安徽省葛集镇2025年10月份财政惠民惠农补贴资金月报表
文章来源: 葛集镇人民政府浏览量:发表时间:2025-11-13 09:07