网站无障碍
适老版
繁体中文
您当前所在的位置是:
首页
> 葛集镇人民政府
>
社会救助领域
>
特困人员救助供养
信息分类:
内容分类:
特困人员救助供养
发文日期:
2025-12-12 16:58:55
生成日期:
2025-12-12 16:58:55
生效时间:
废止时间:
发布机构:
葛集镇人民政府
文 号:
名 称:
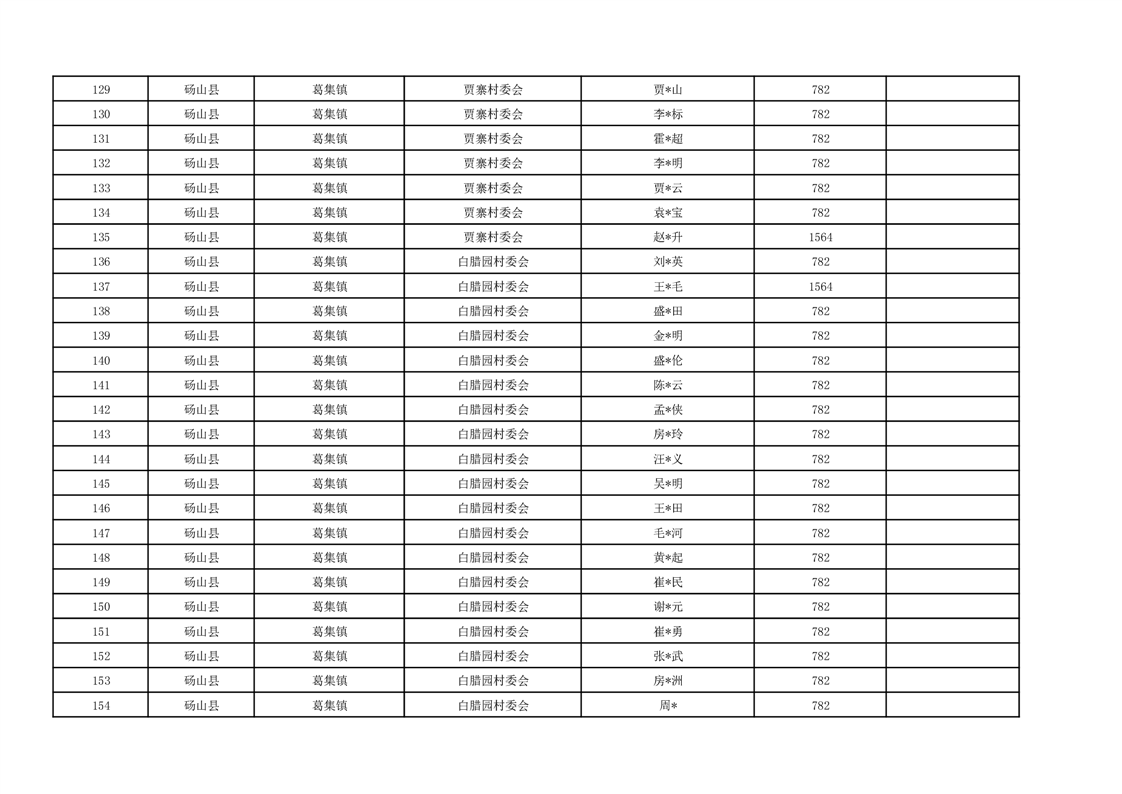
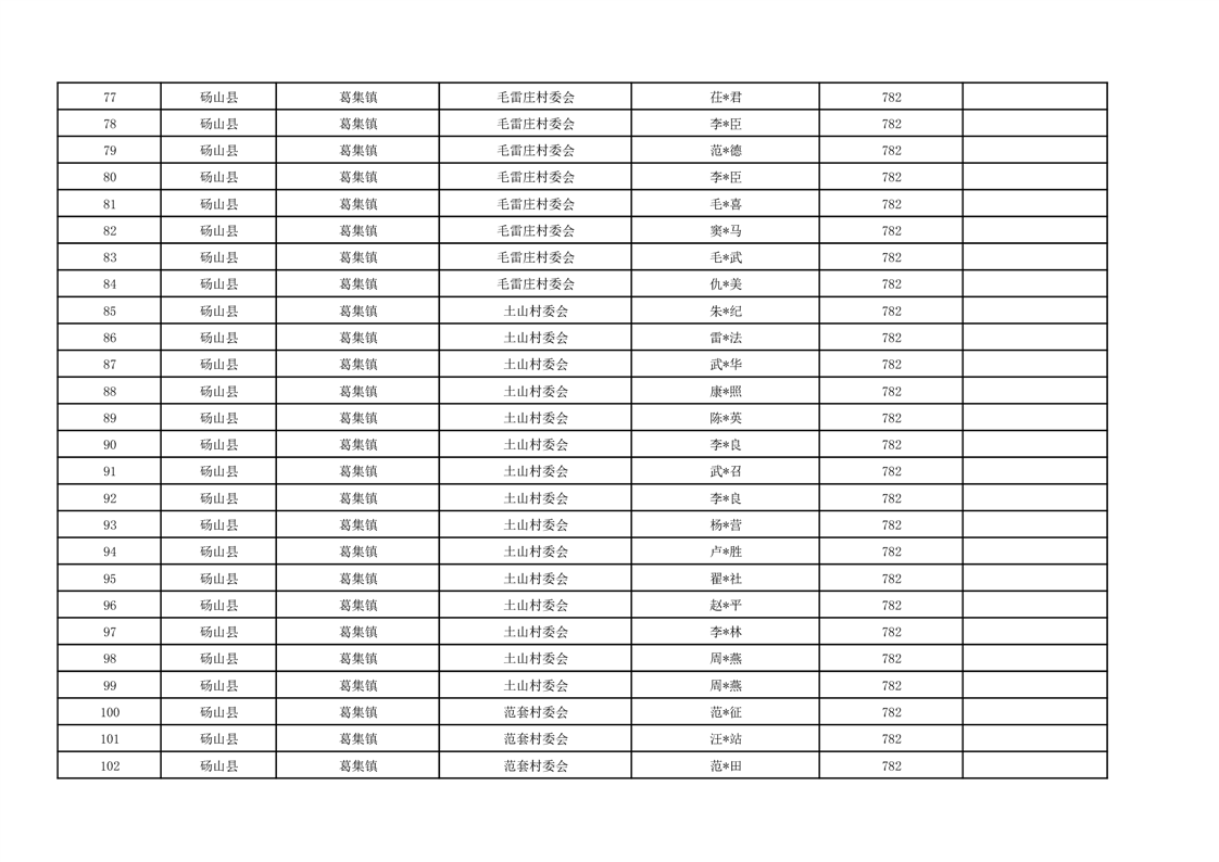
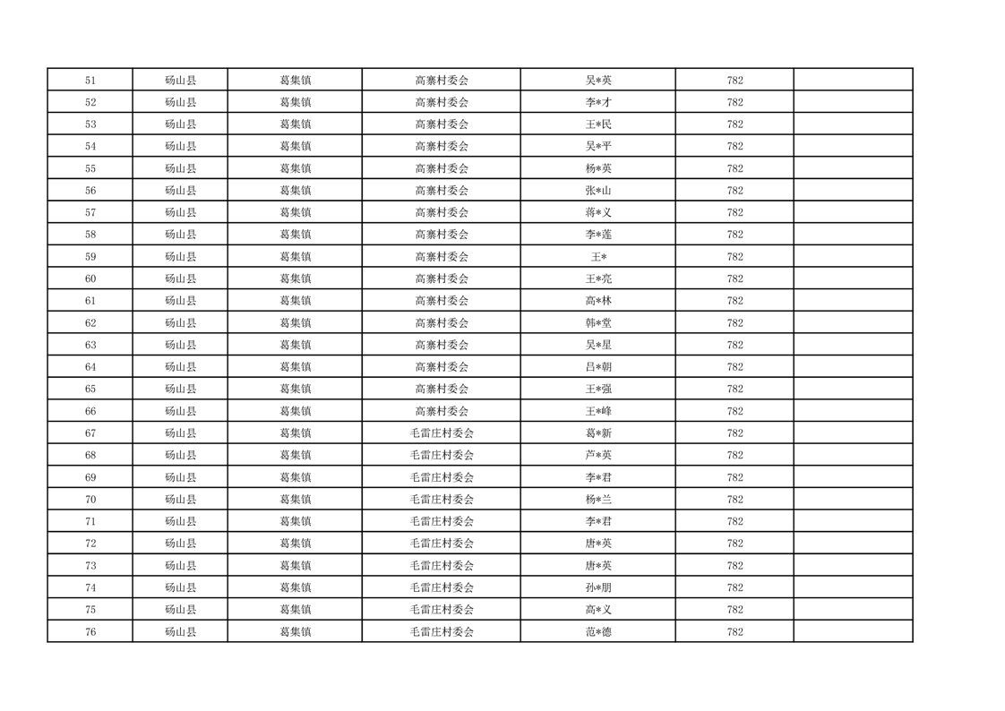
葛集镇2025年11月分散供养特困人员资金发放花名册
关
键
词:
葛集镇2025年11月分散供养特困人员资金发放花名册
文章来源: 葛集镇人民政府
浏览量:
发表时间:2025-12-12 16:58
字体大小:
【
大
中
小
】
扫一扫在手机打开当前页
打印本页
关闭窗口