繁体中文
您当前所在的位置是:
首页
> 良梨镇人民政府
>
社会救助领域
>
最低生活保障
信息分类:
内容分类:
最低生活保障
发文日期:
2026-04-13 11:45:40
生成日期:
2026-04-13 11:45:40
生效时间:
废止时间:
发布机构:
良梨镇人民政府
文 号:
名 称:
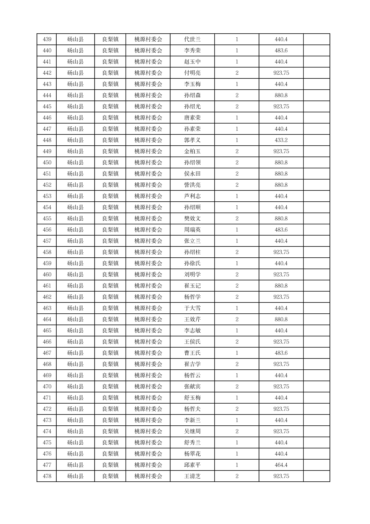
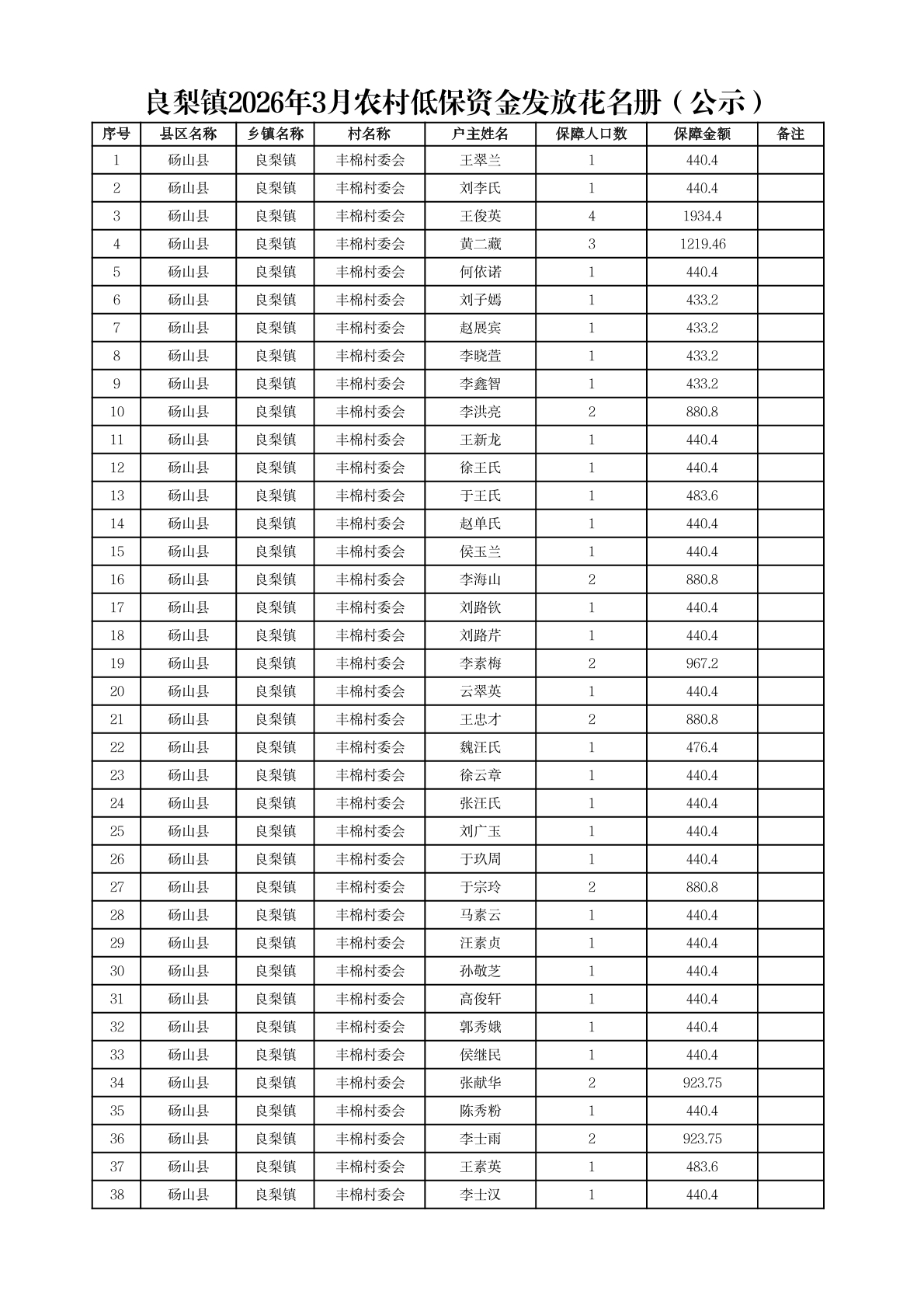
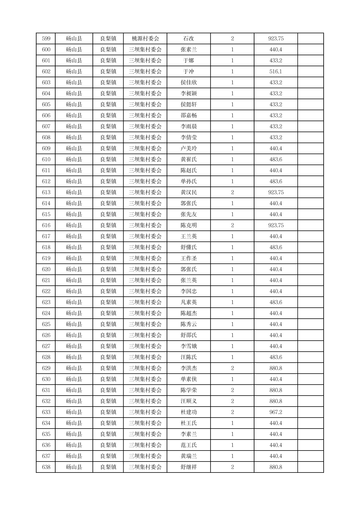
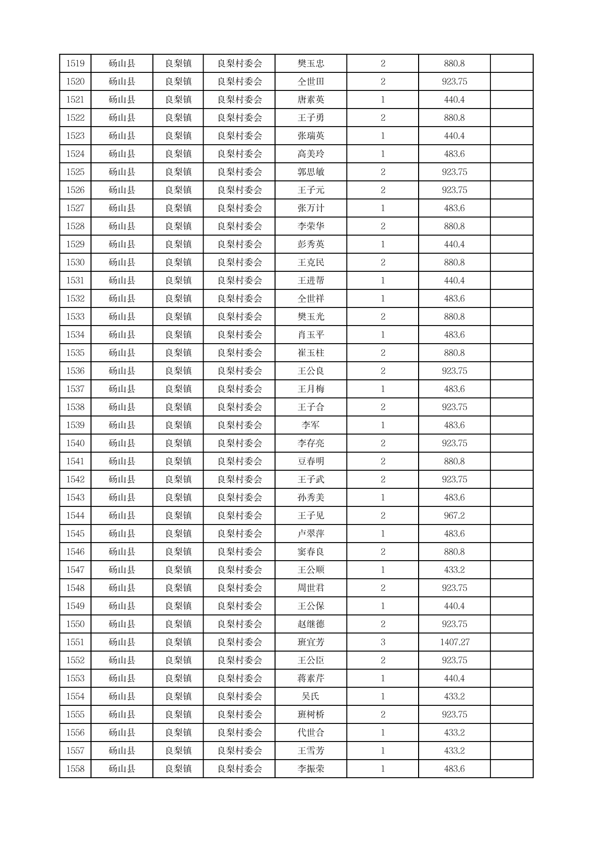
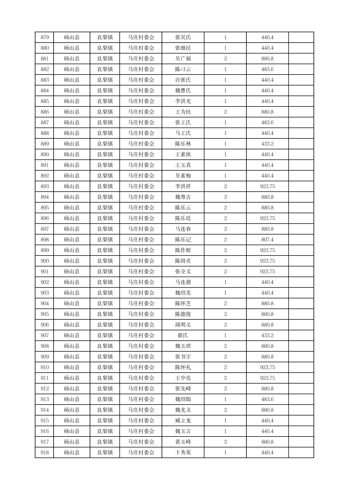
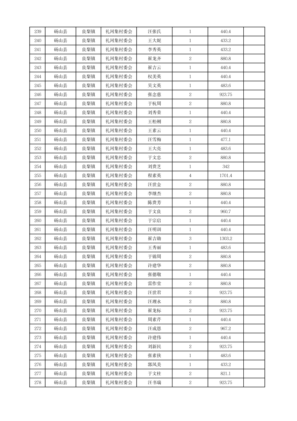
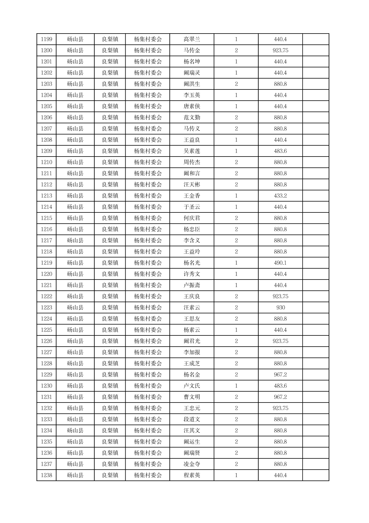
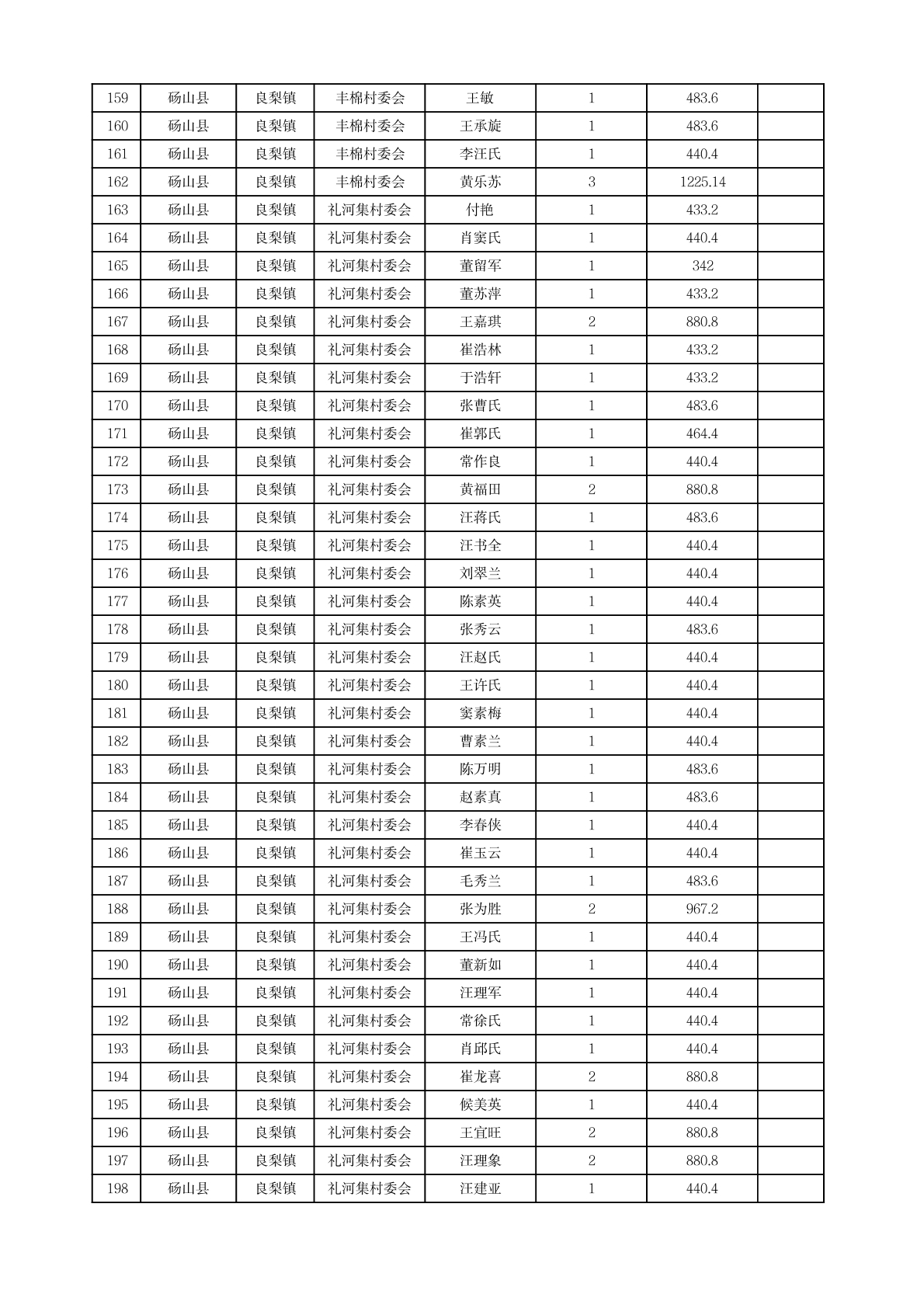
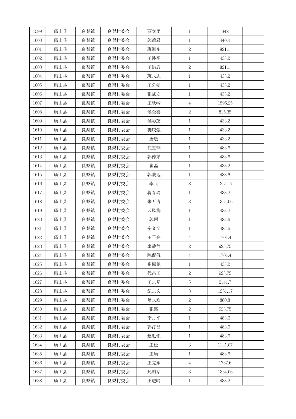
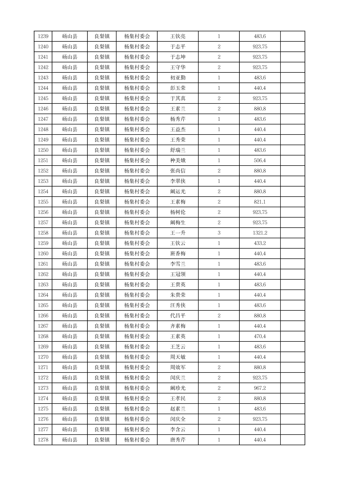
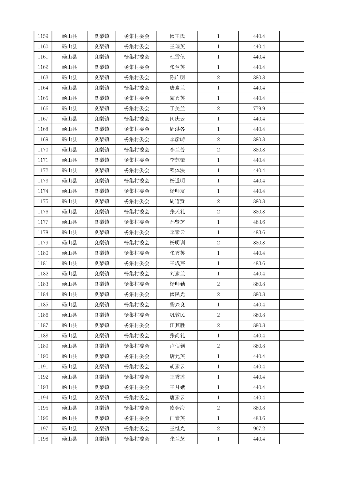
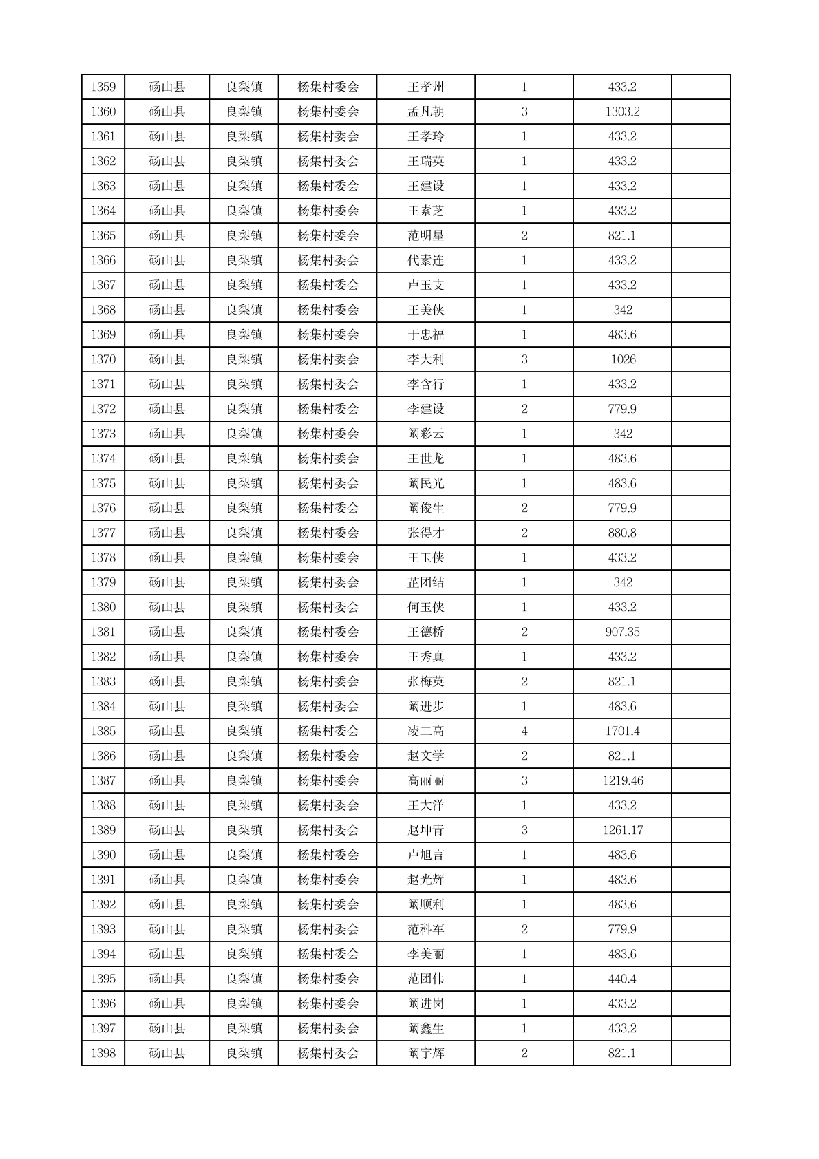
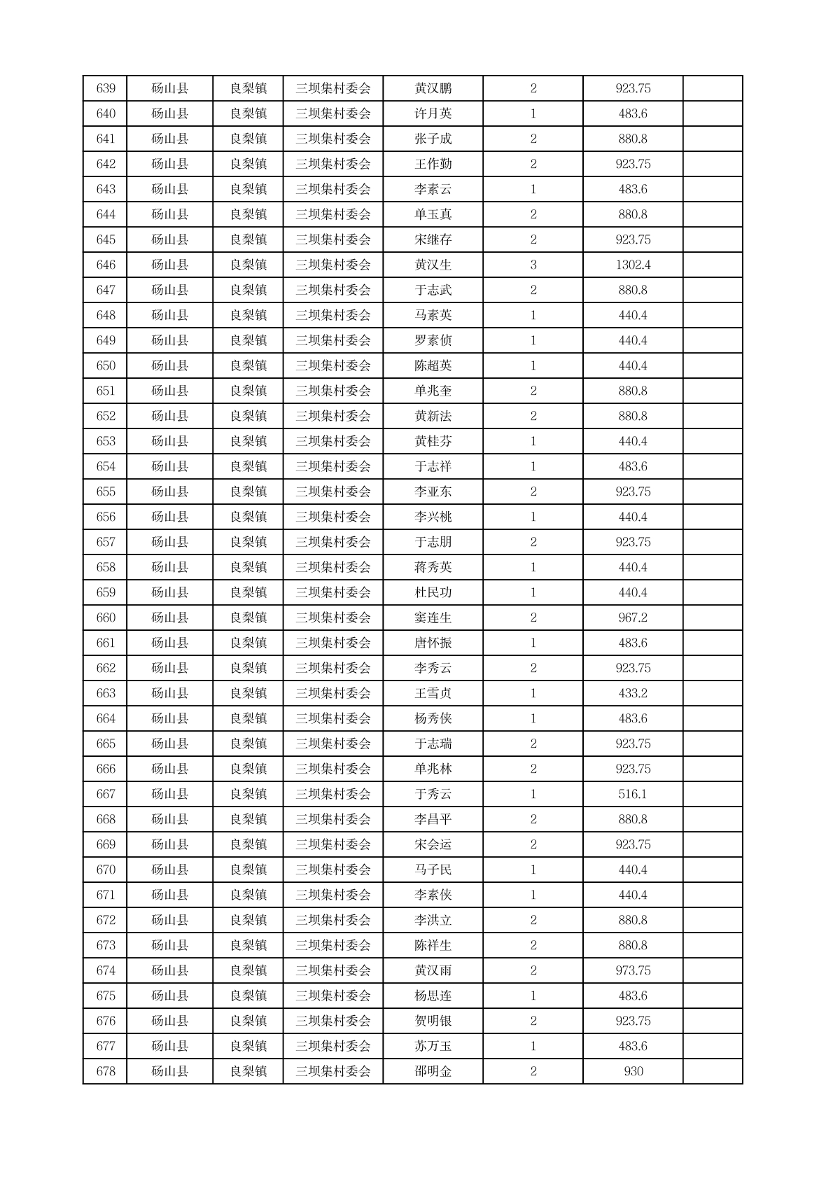
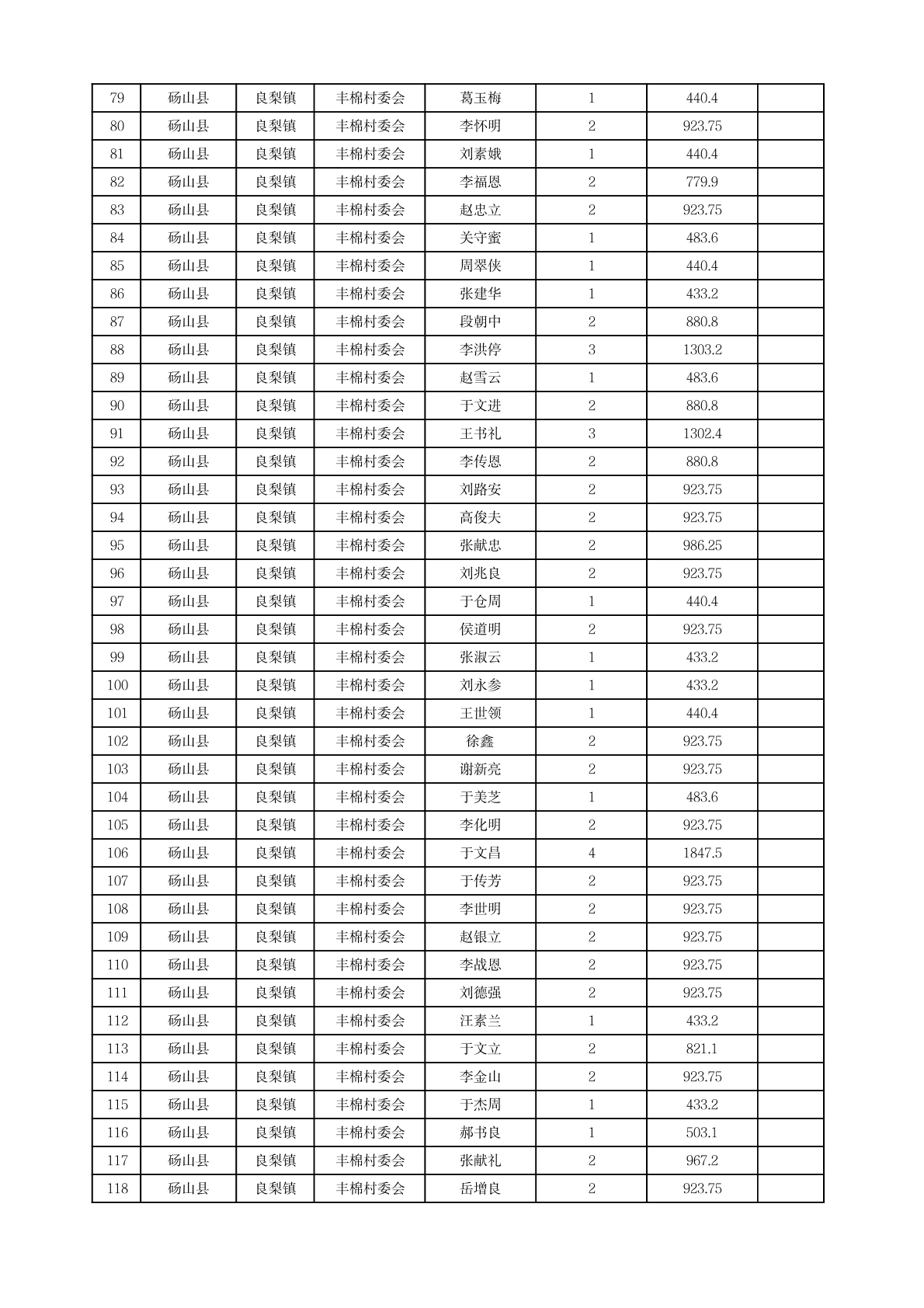
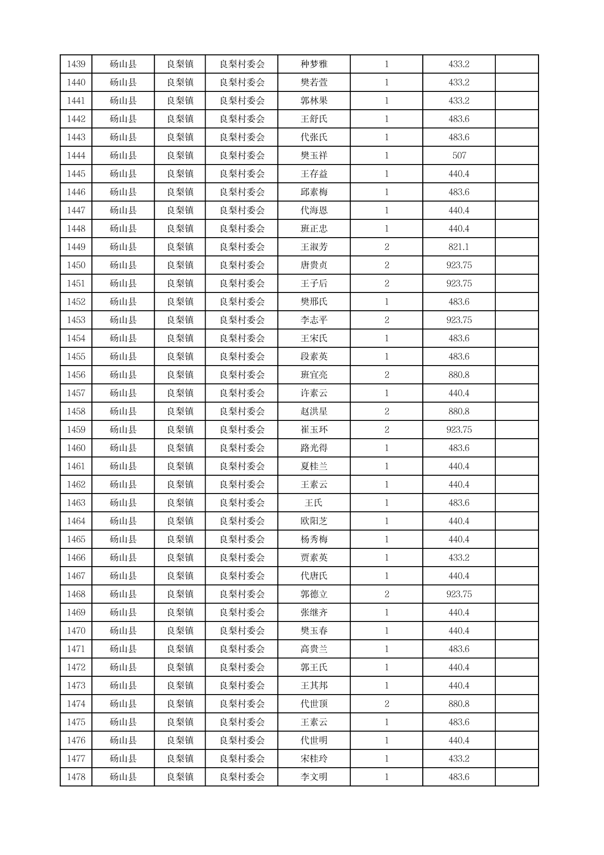
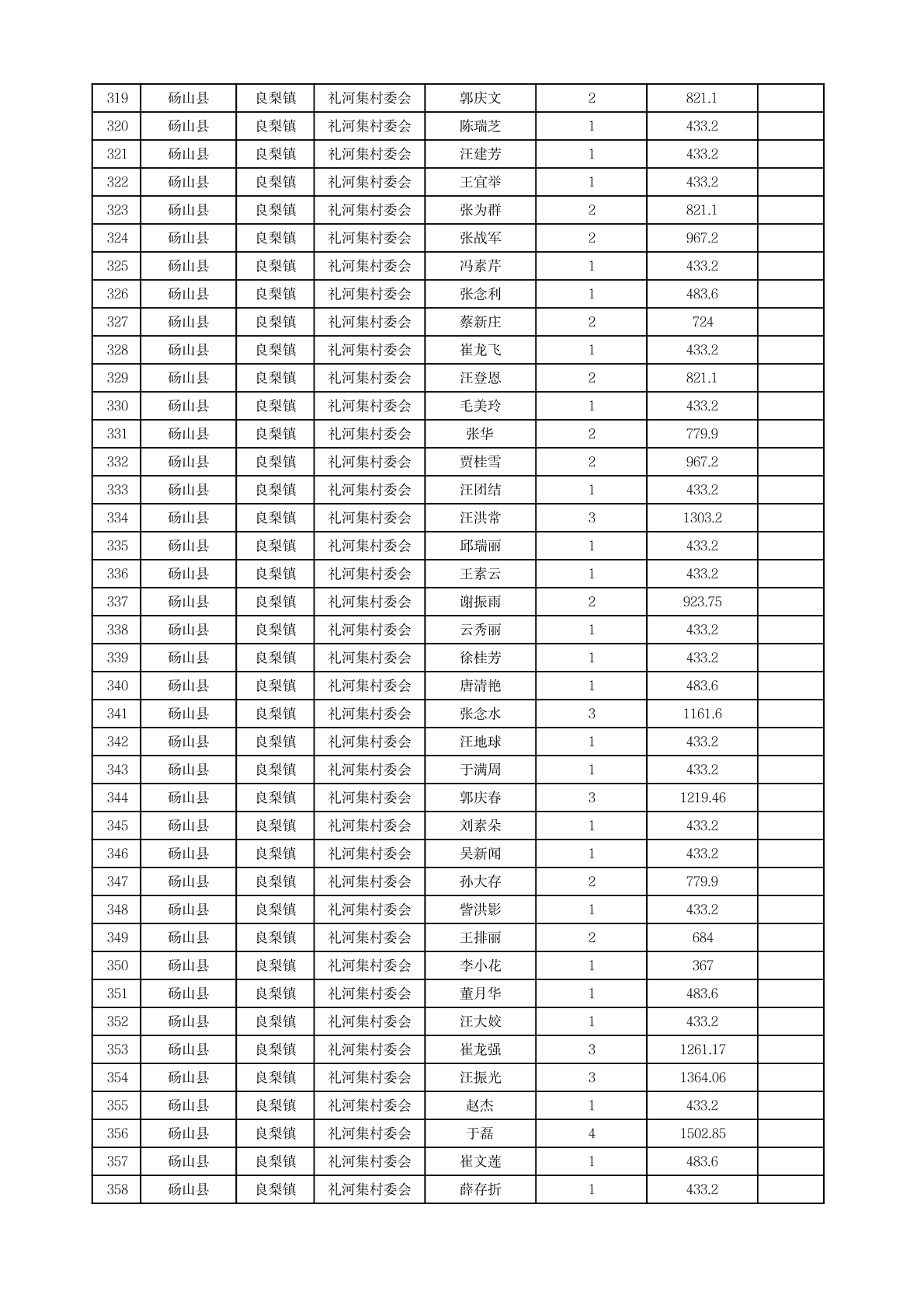
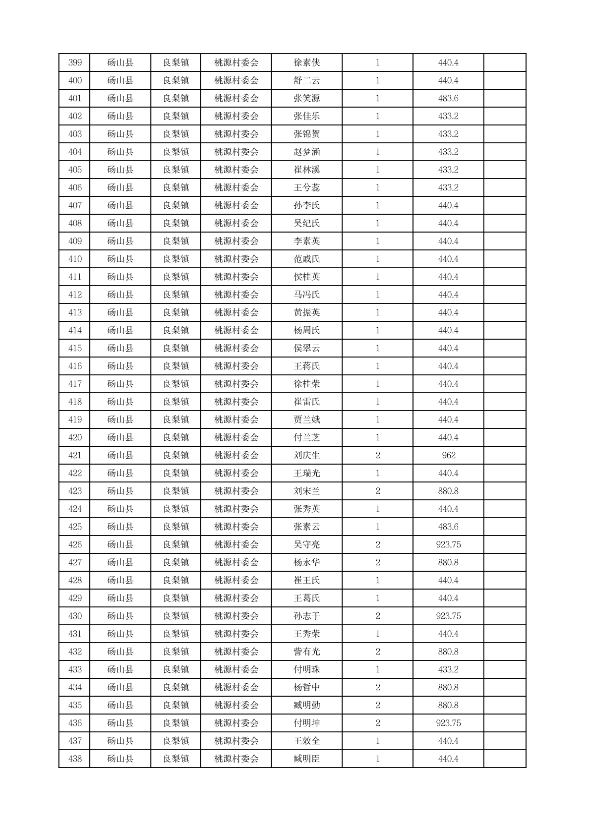
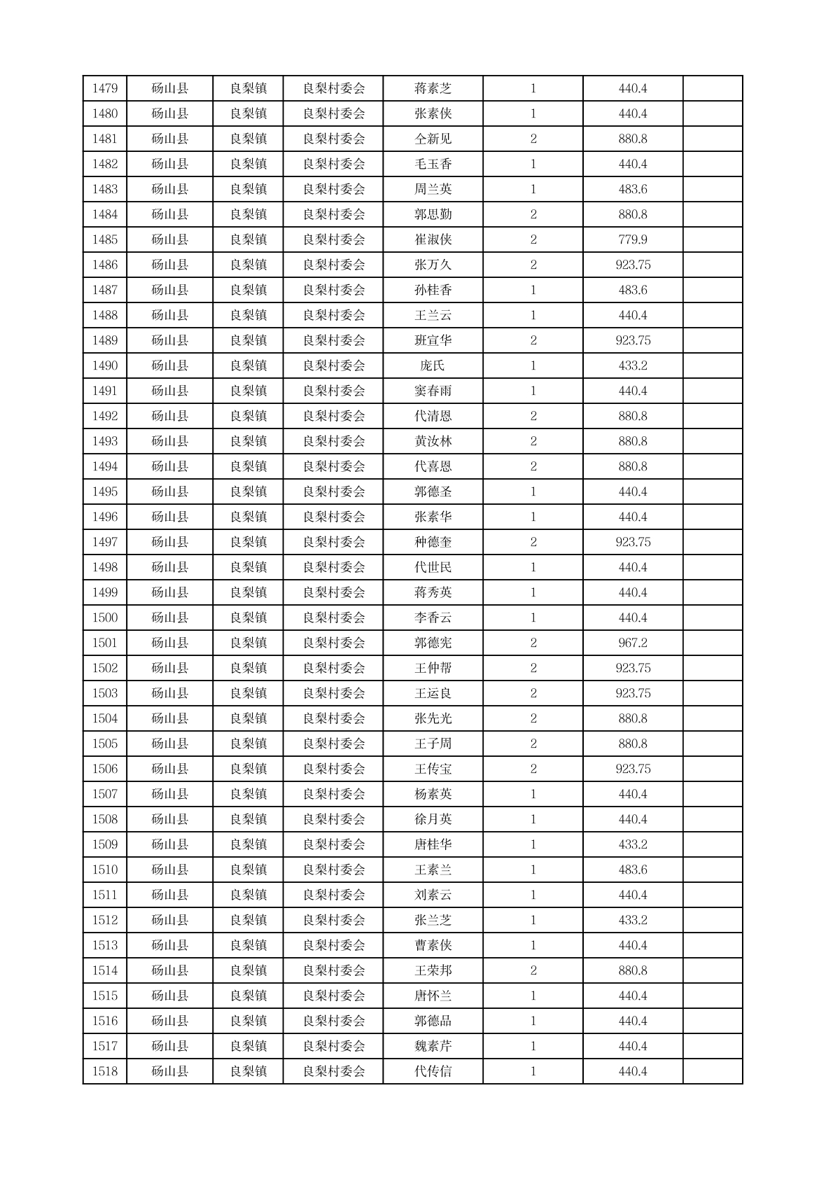
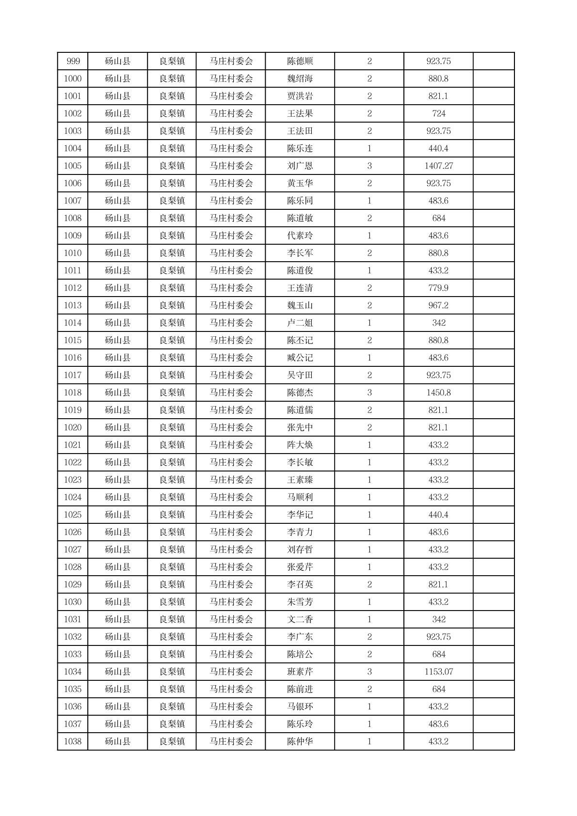
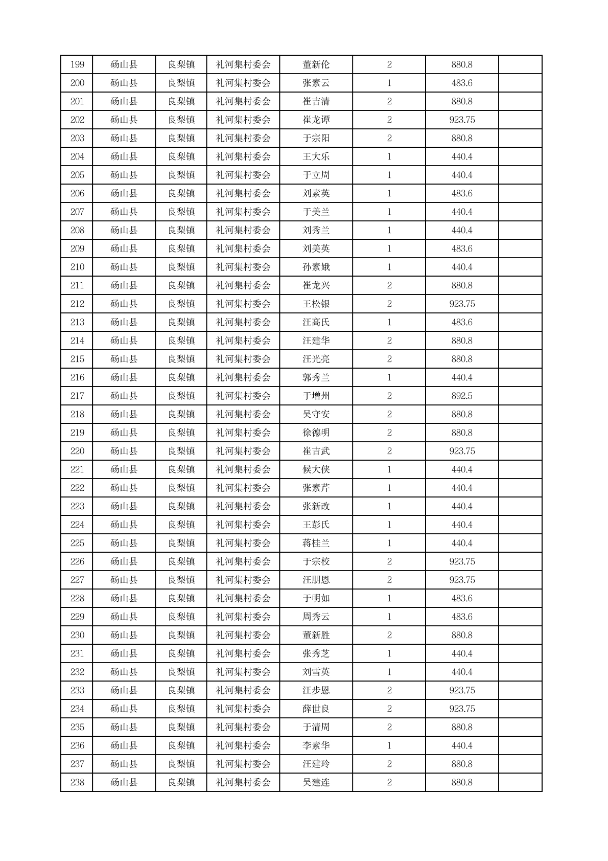
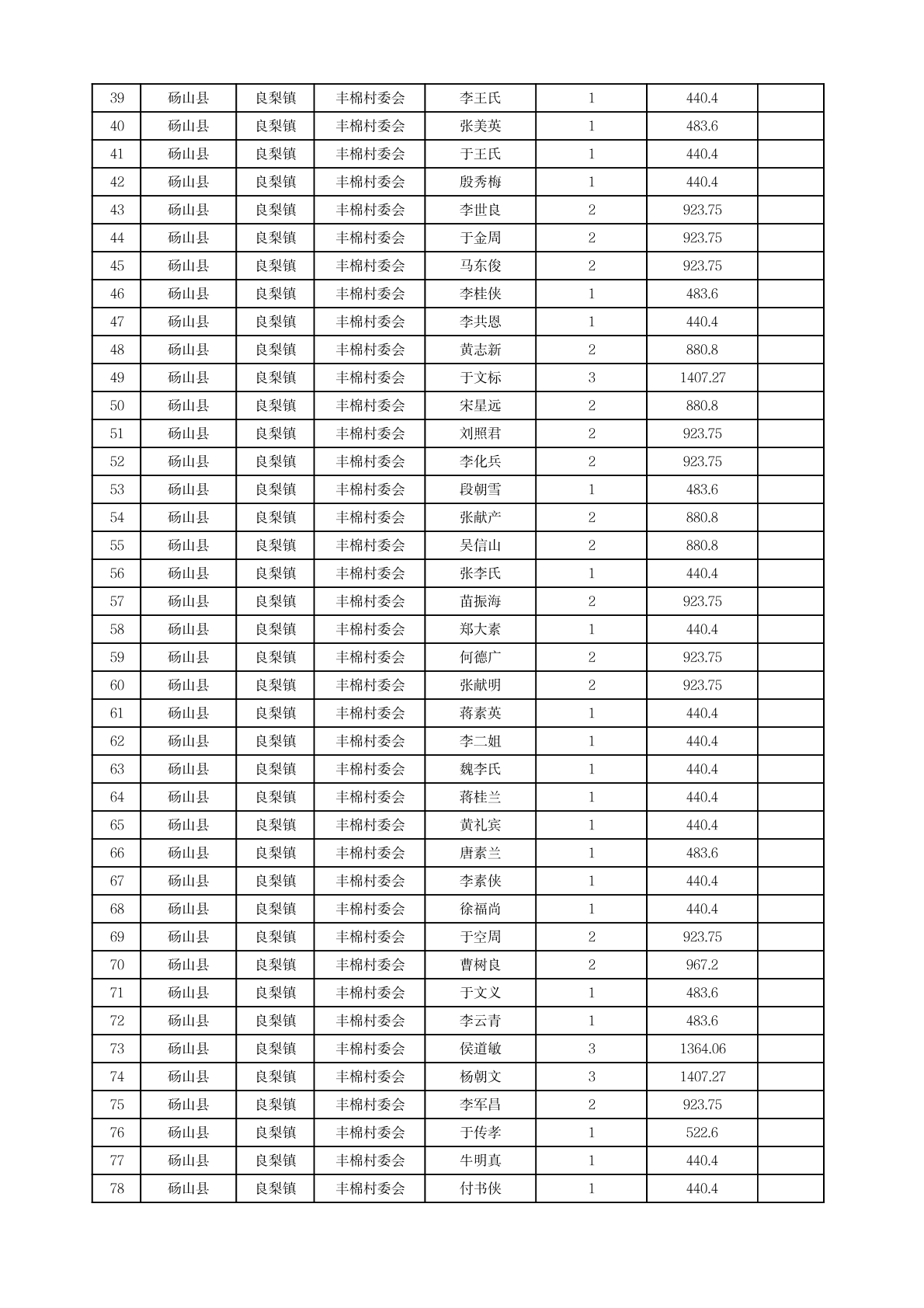
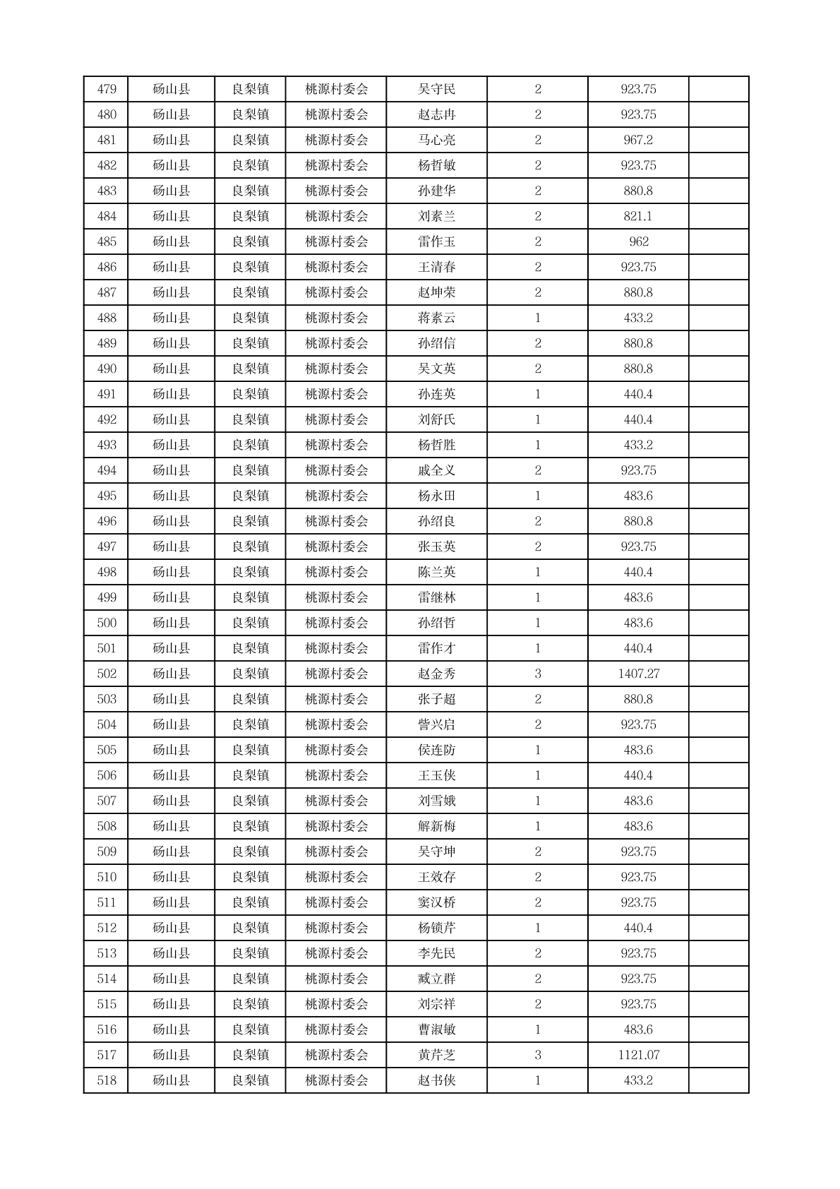
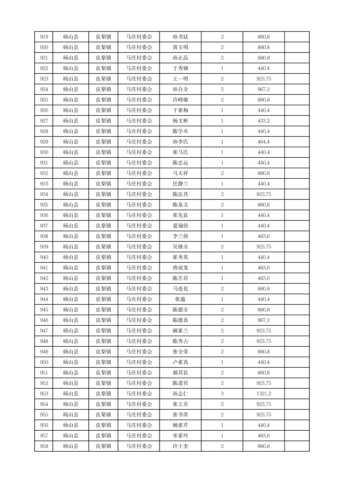
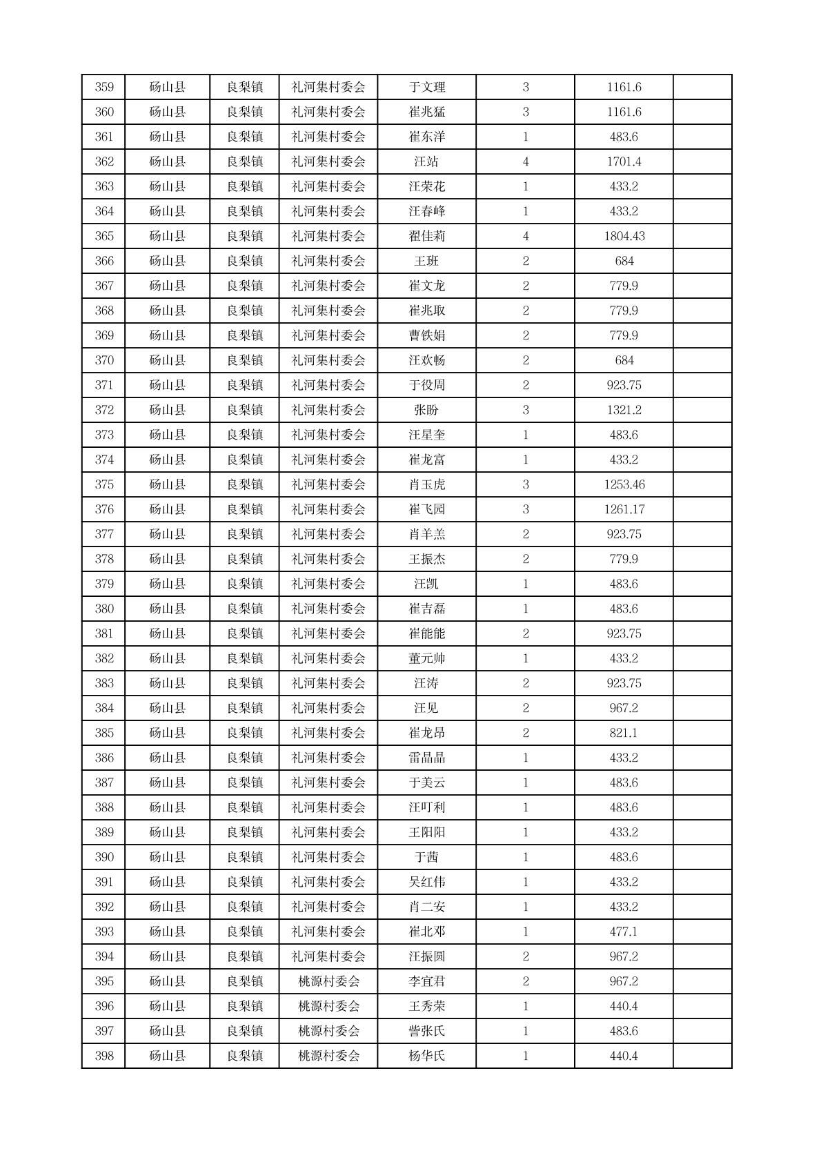
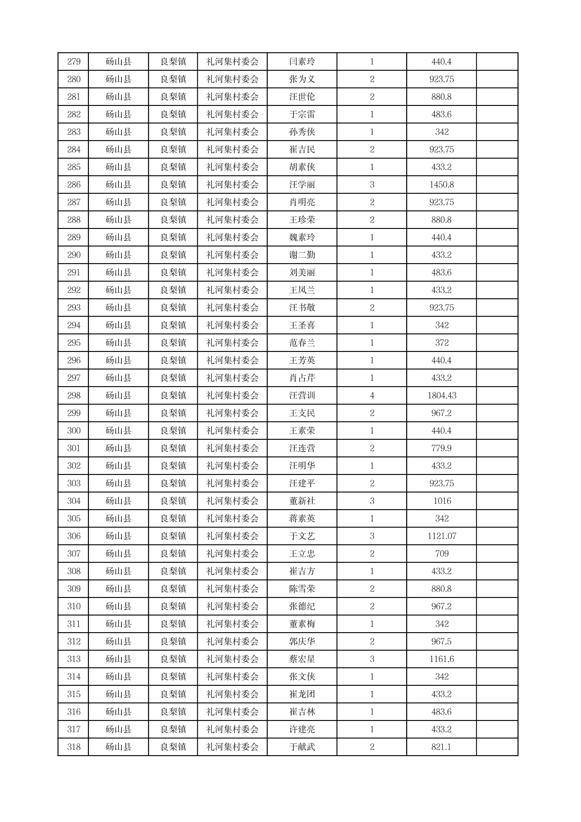
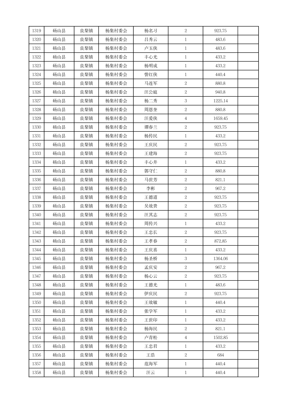
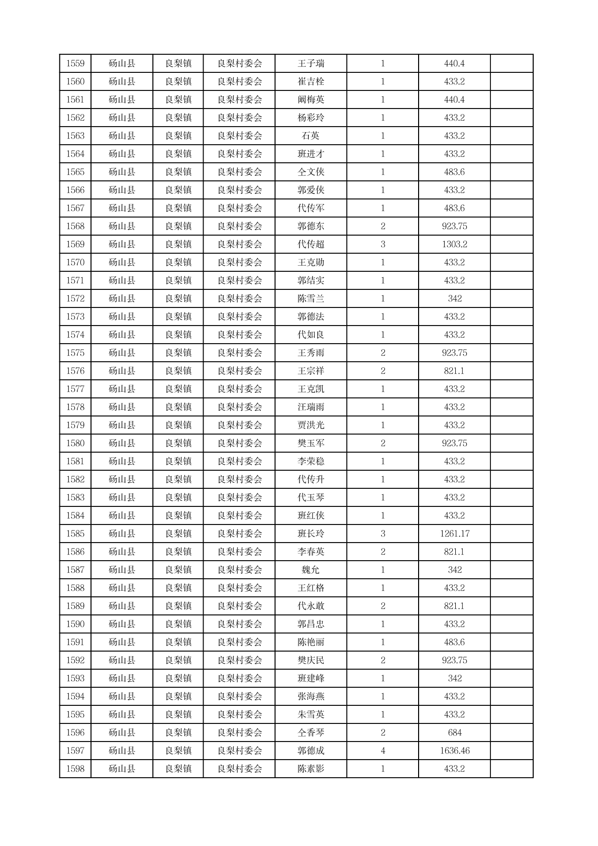
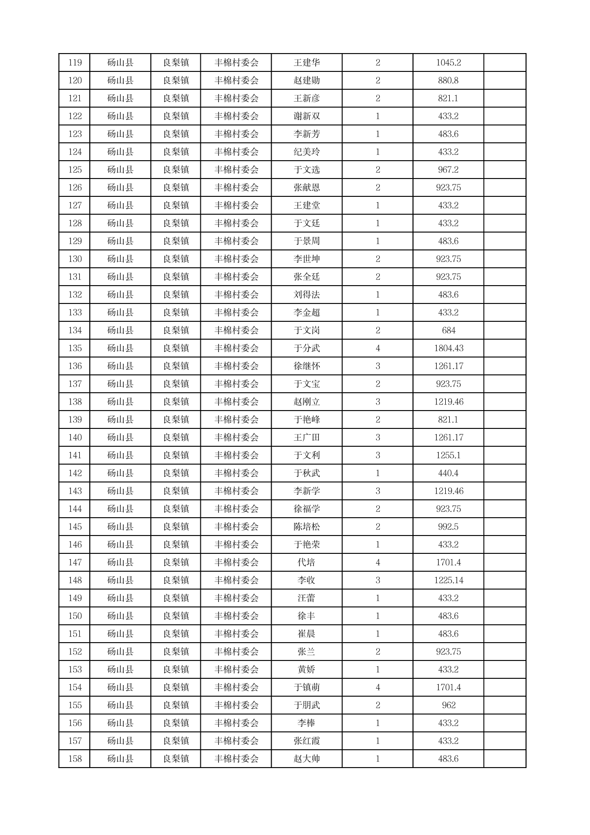
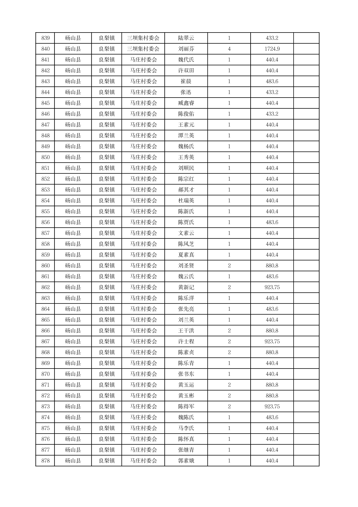
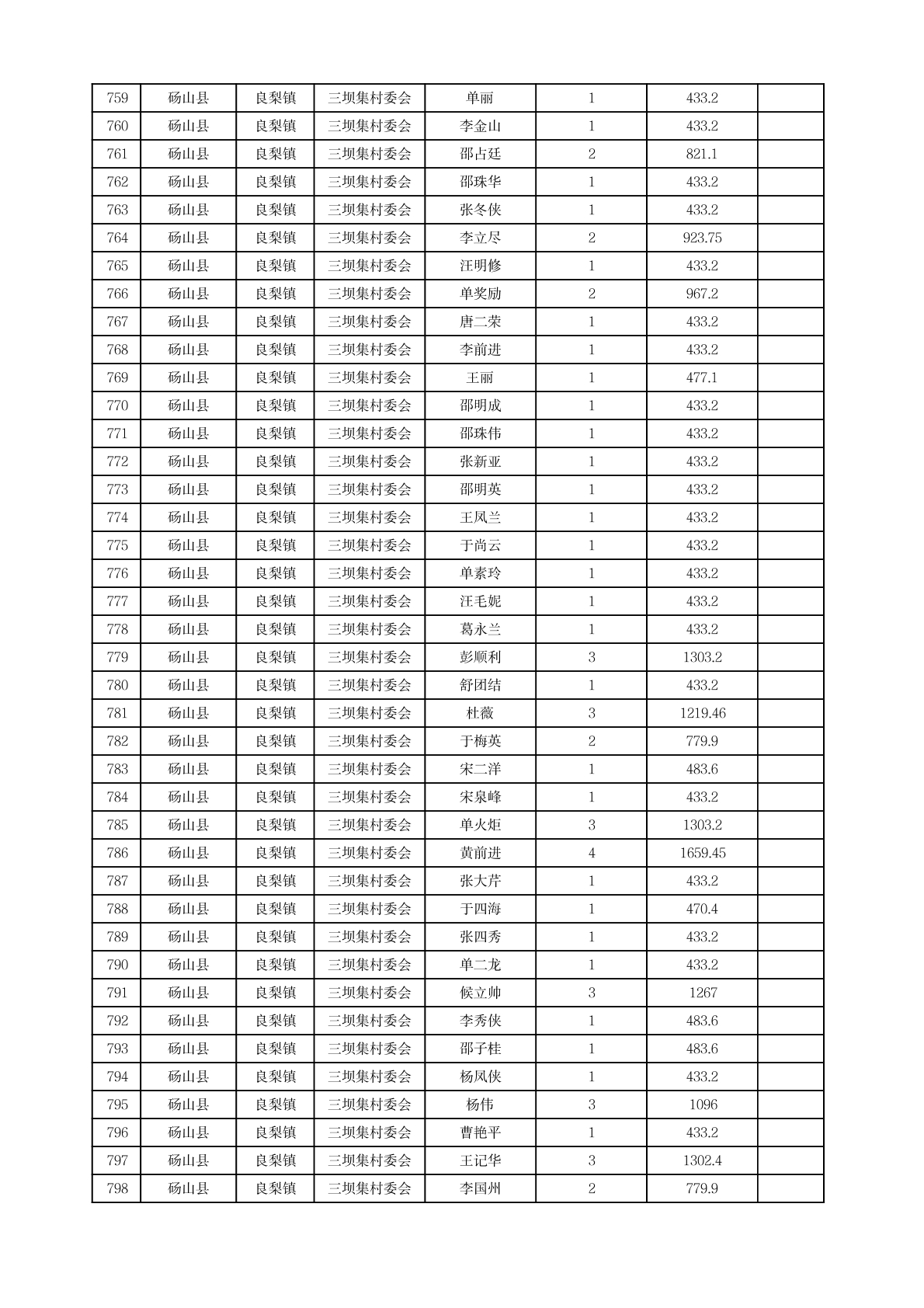
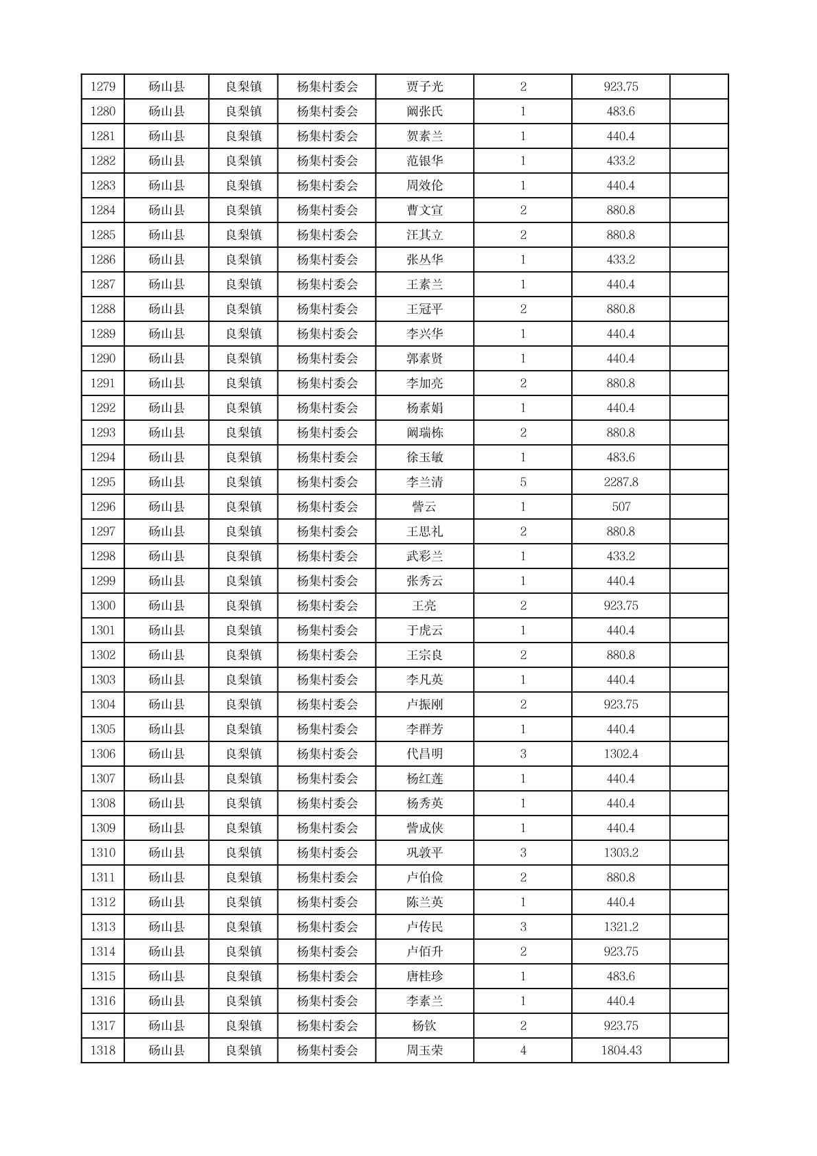
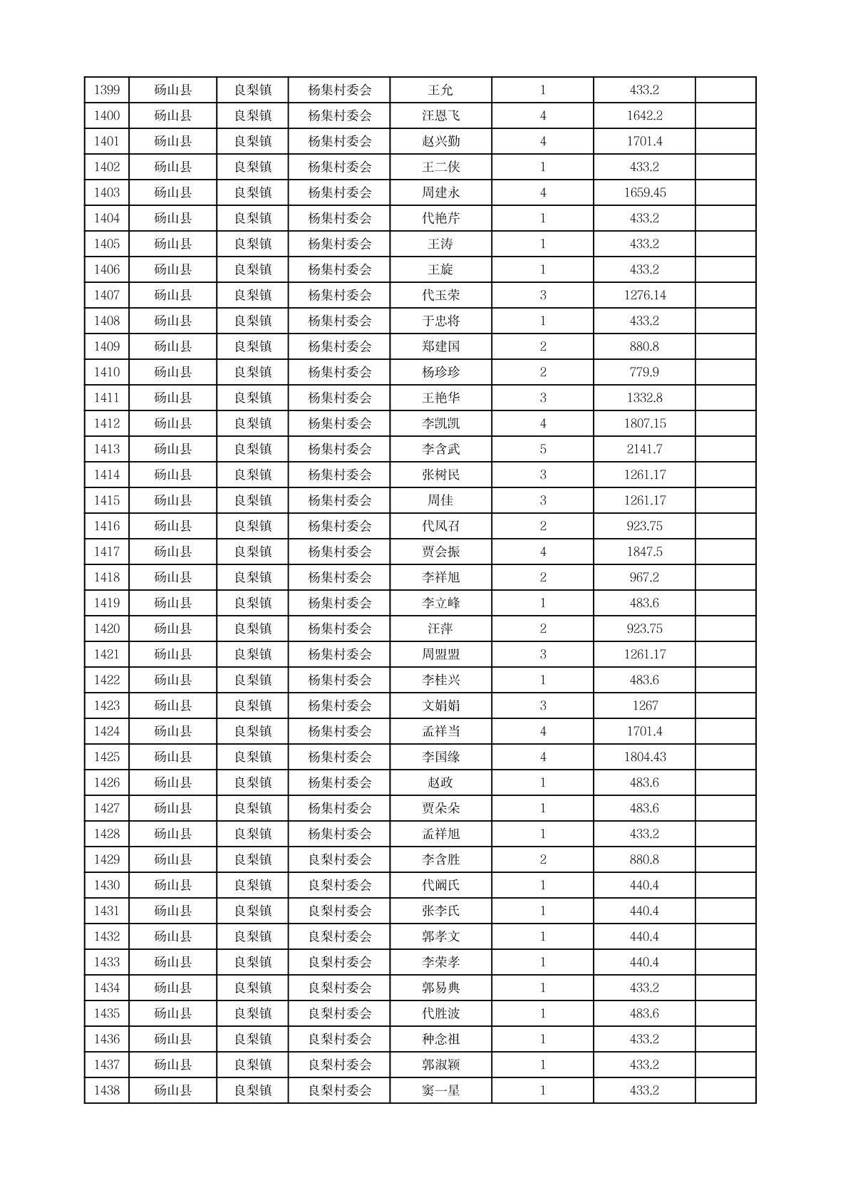
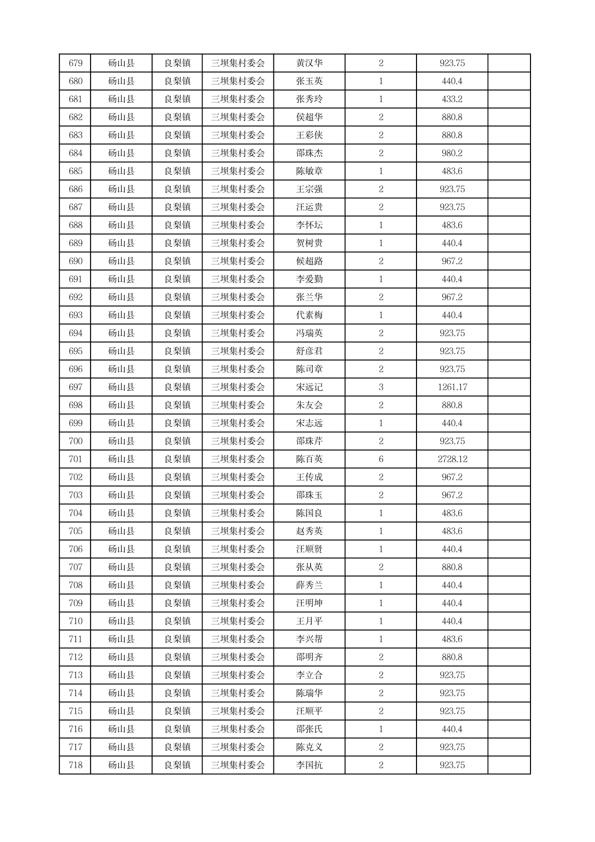
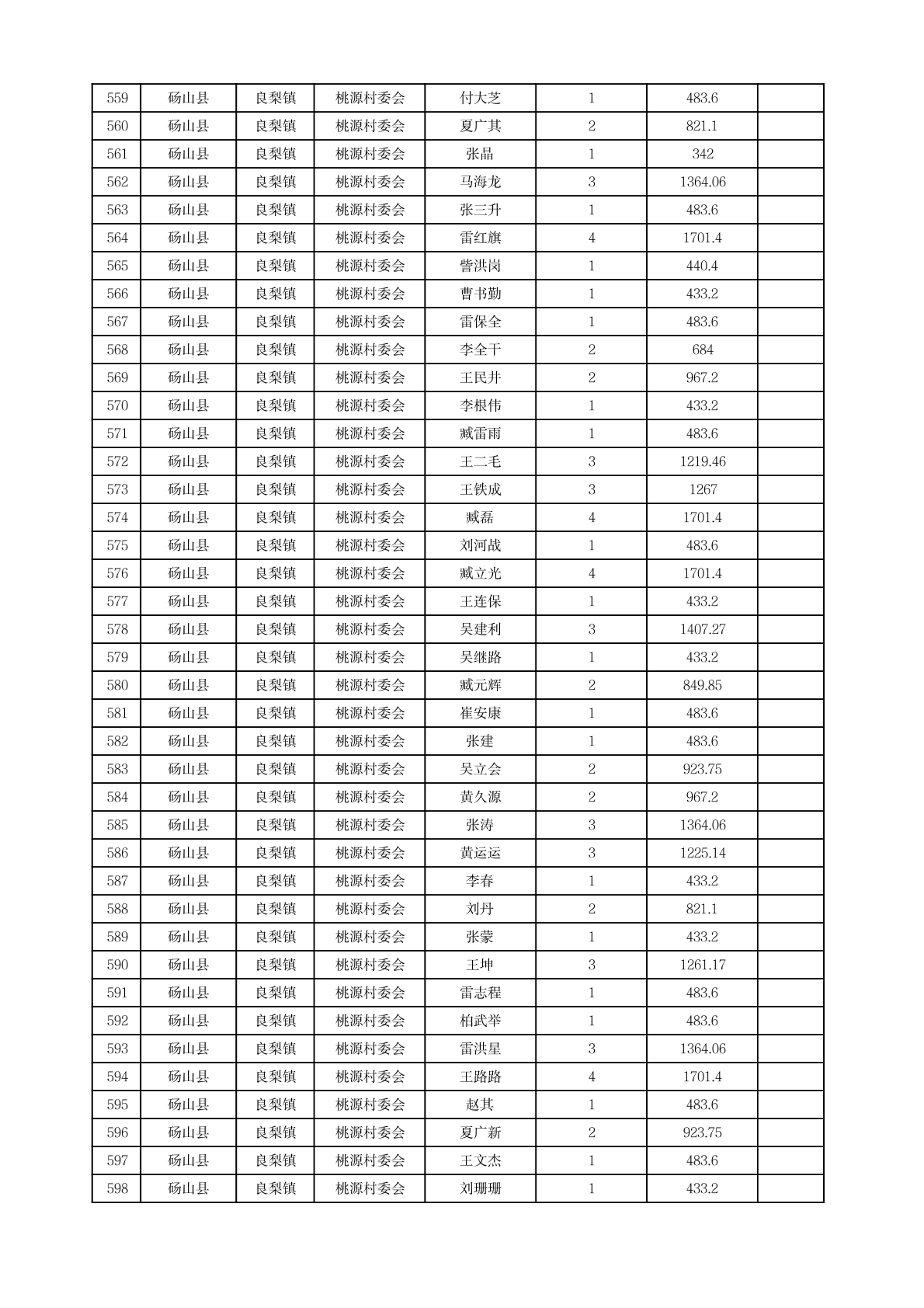
良梨镇2026年3月农村低保资金发放花名册(公示)
关
键
词:
良梨镇2026年3月农村低保资金发放花名册(公示)
文章来源: 良梨镇人民政府
浏览量:
发表时间:2026-04-13 11:45
字体大小:
【
大
中
小
】
扫一扫在手机打开当前页
打印本页
关闭窗口