网站无障碍
适老版
繁体中文
您当前所在的位置是:
首页
> 官庄坝镇人民政府
>
社会救助领域
>
最低生活保障
信息分类:
其他,综合政务
内容分类:
最低生活保障
发文日期:
2025-11-13 10:32:59
生成日期:
2025-11-13 10:32:59
生效时间:
废止时间:
发布机构:
官庄坝镇人民政府
文 号:
名 称:
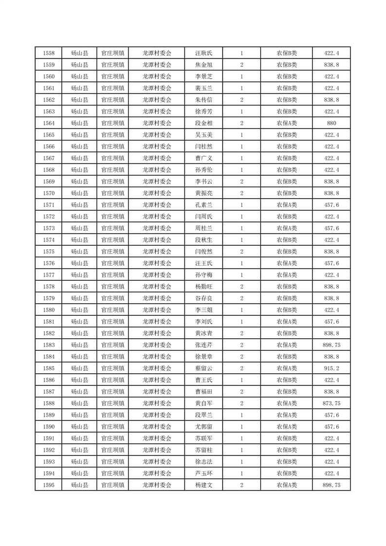
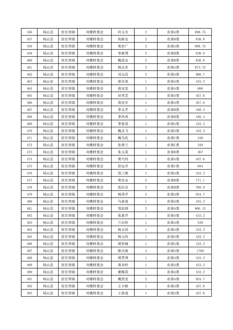
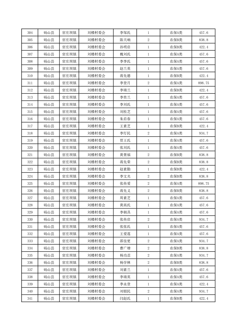
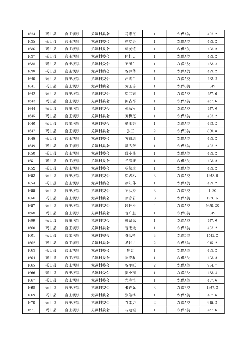
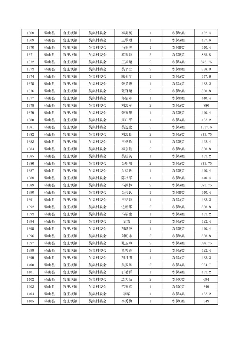
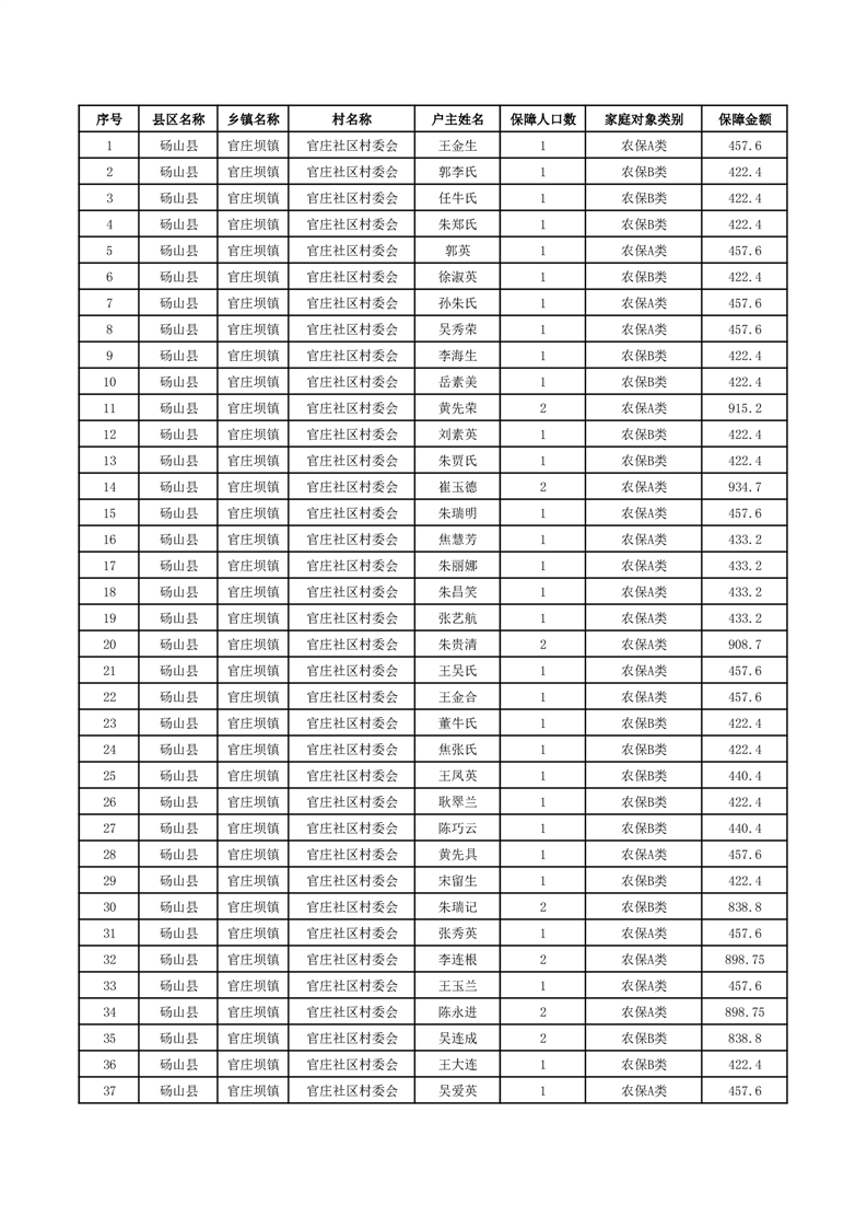
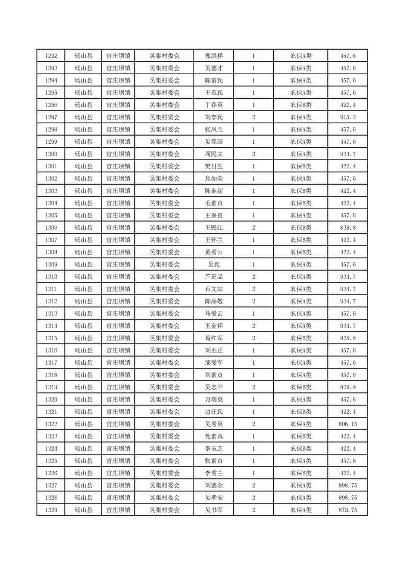
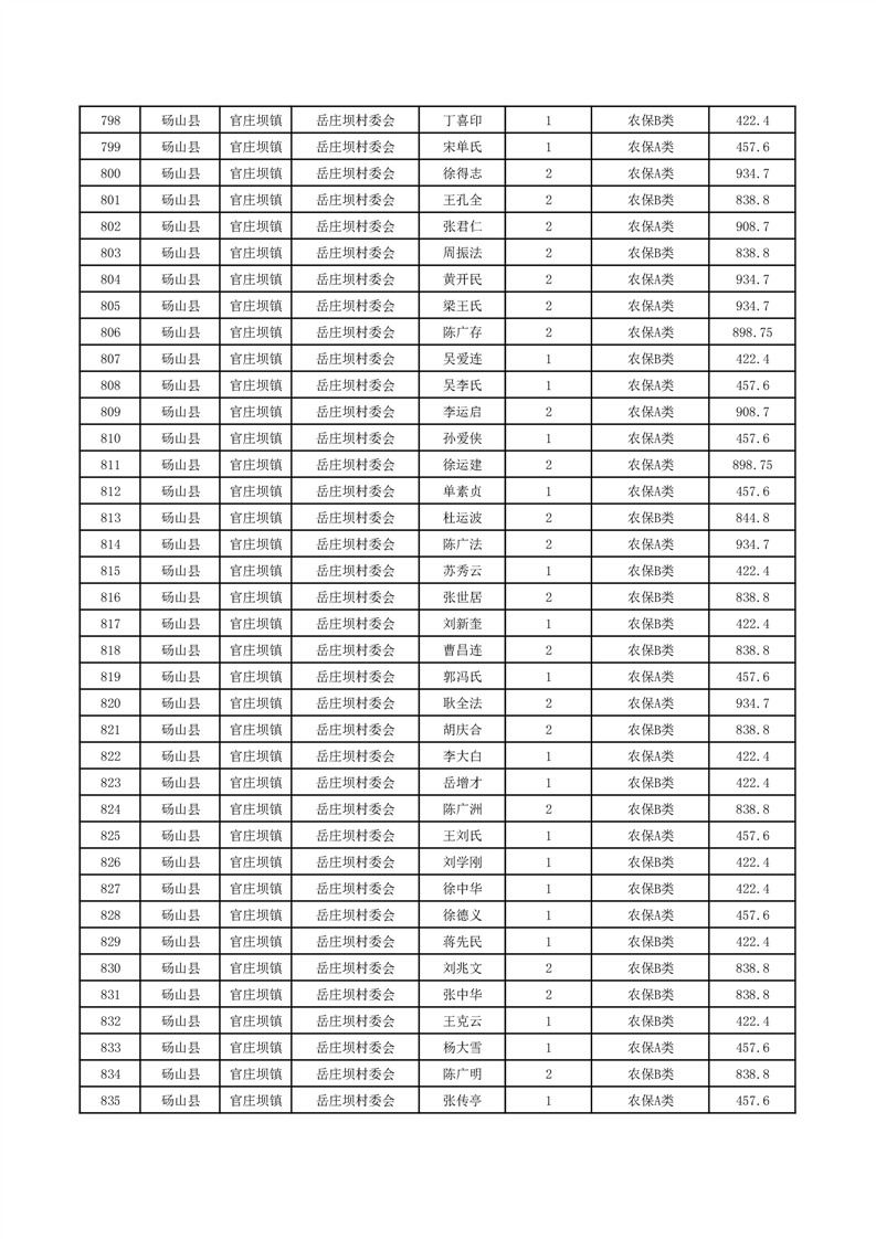
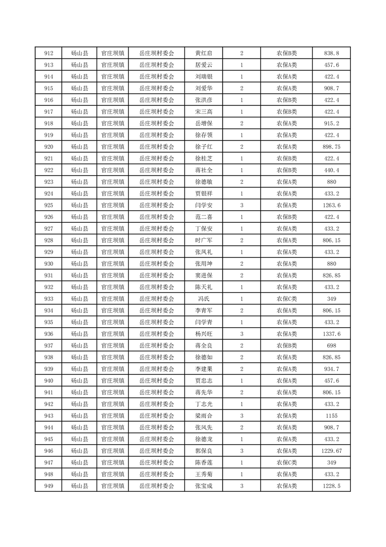
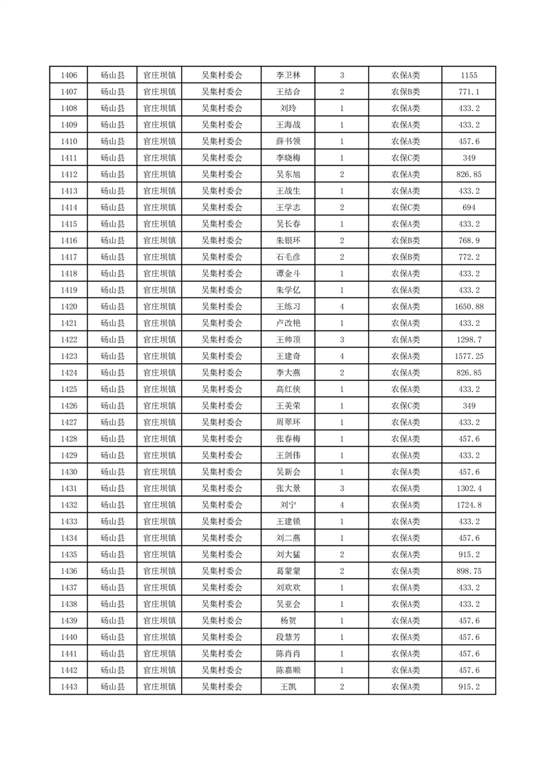
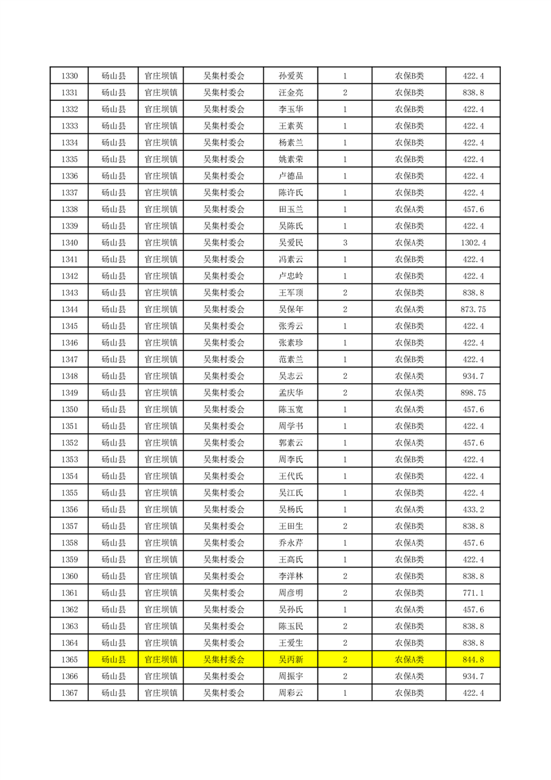
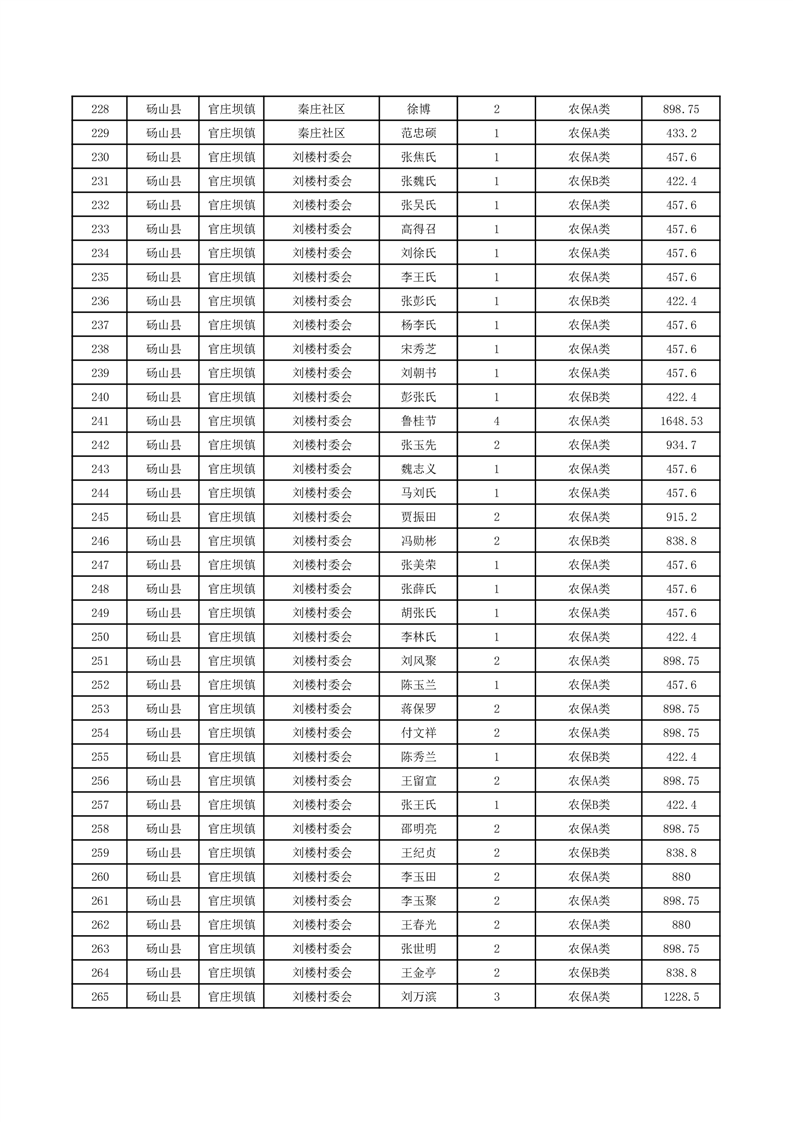
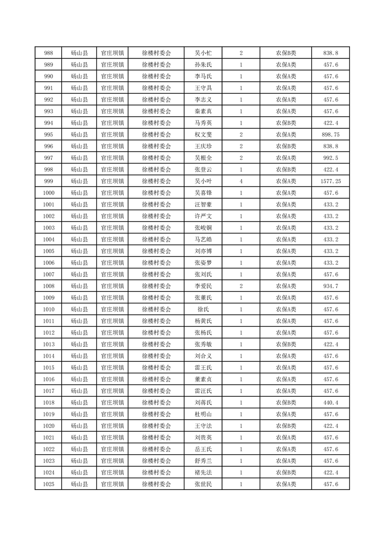
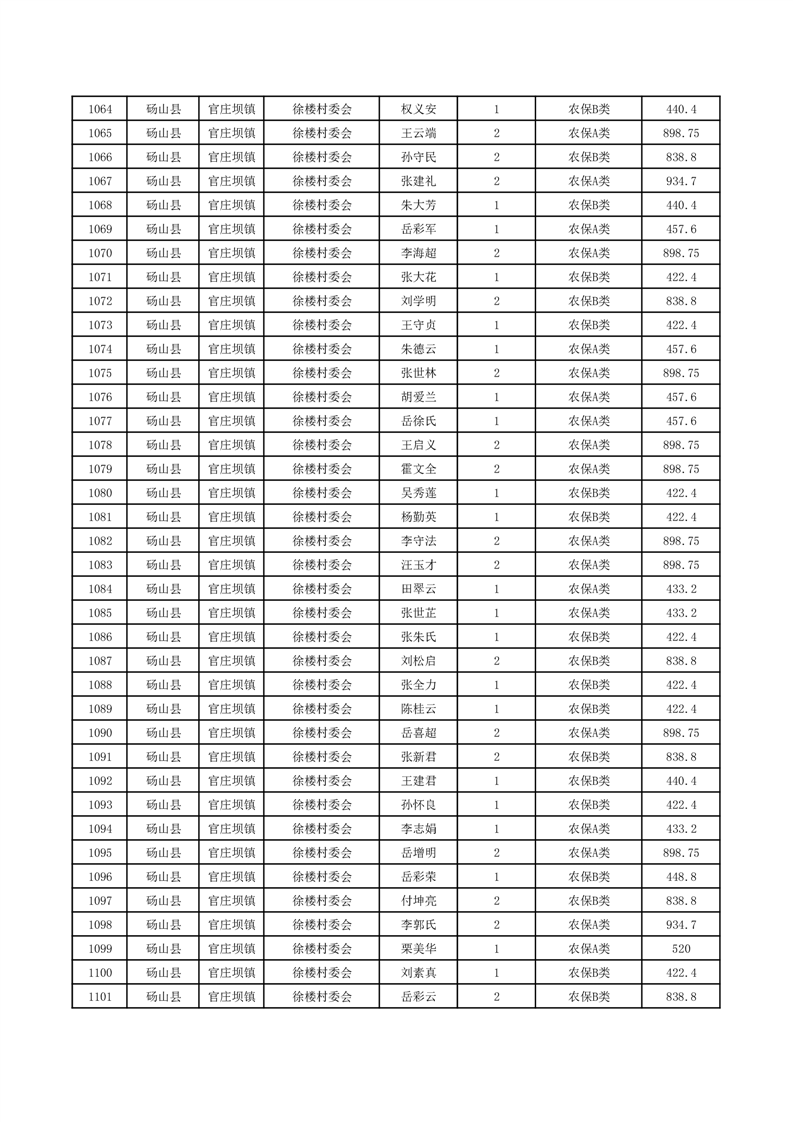
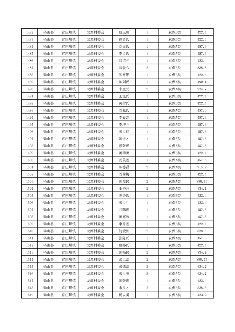
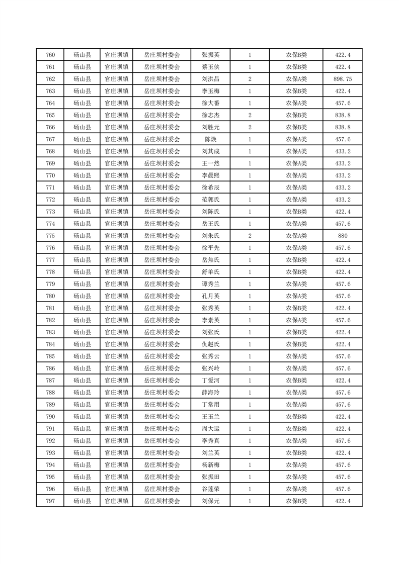
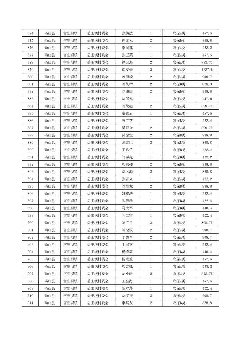
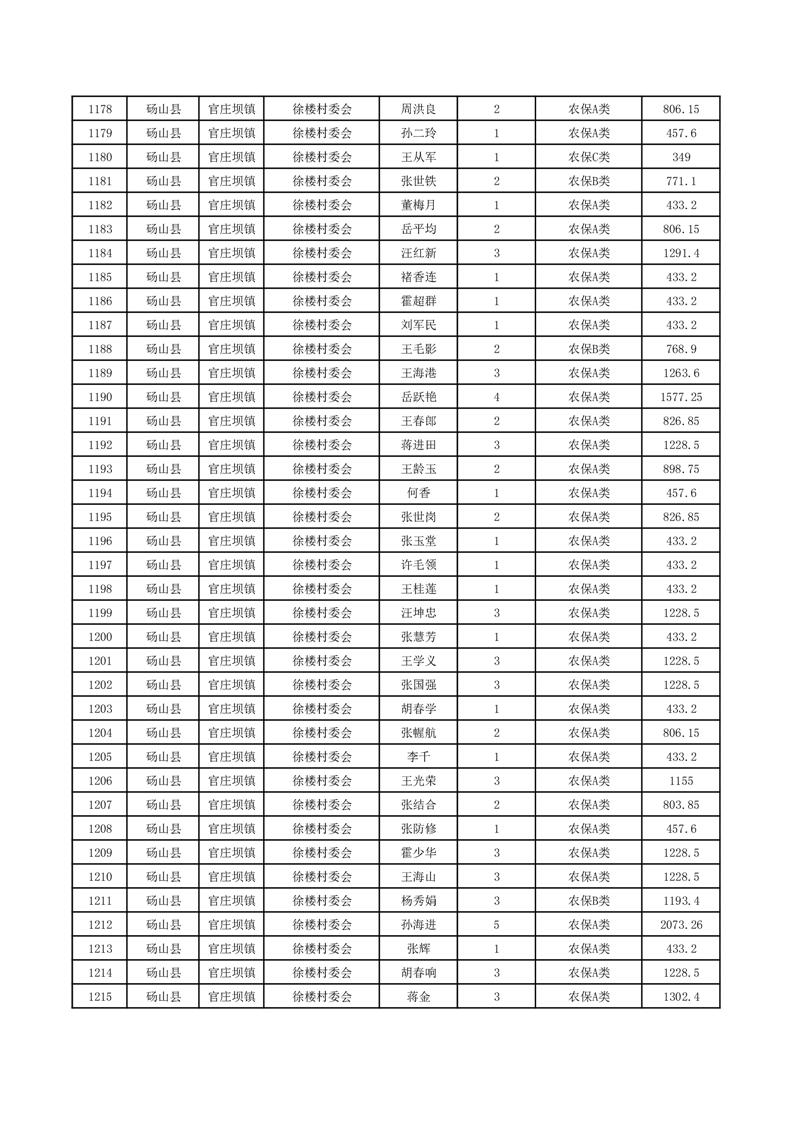
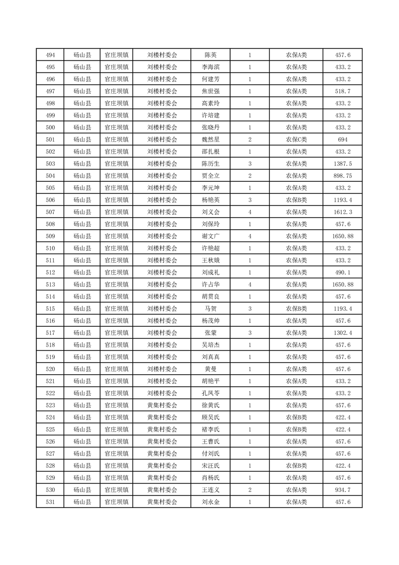
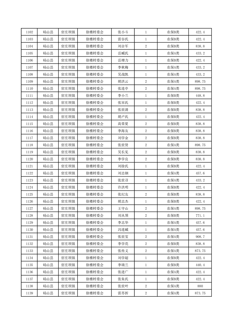
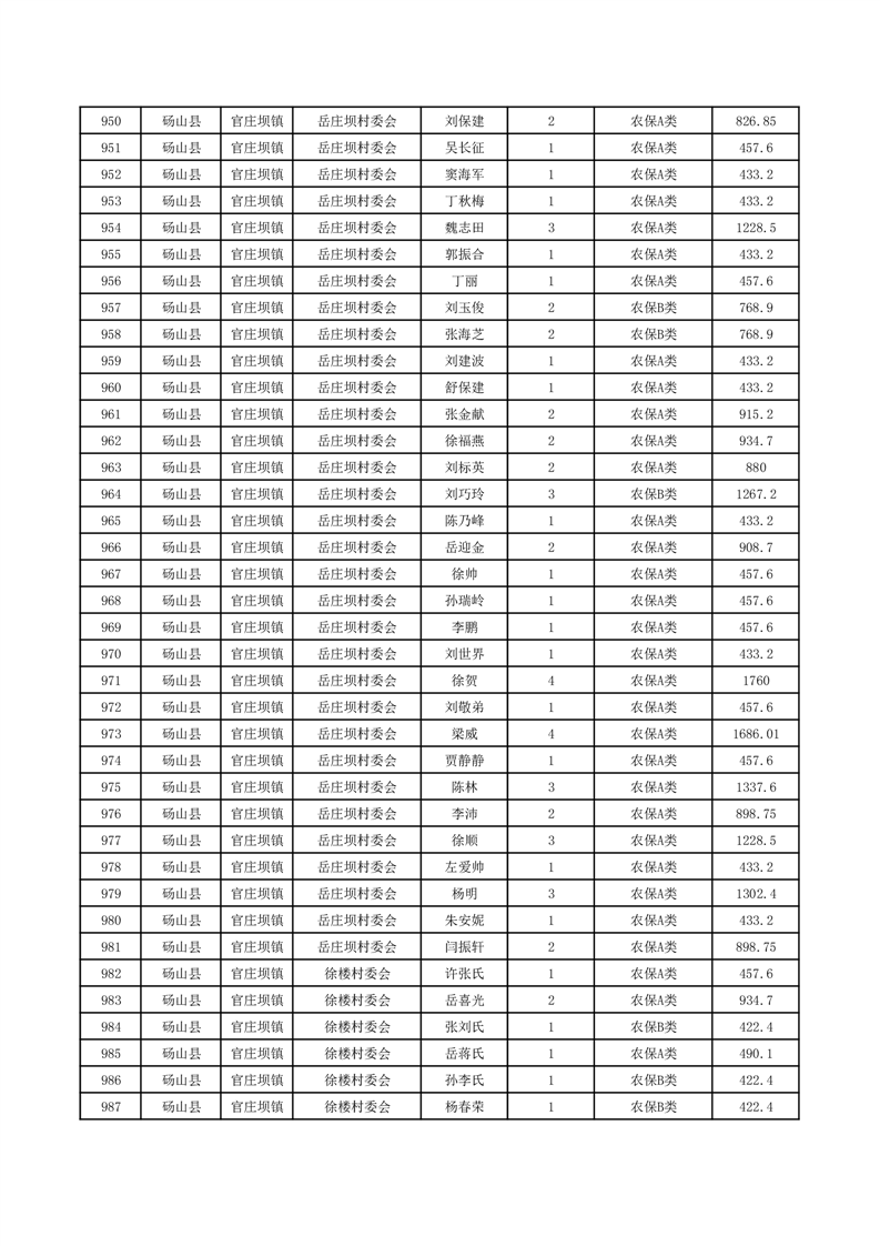
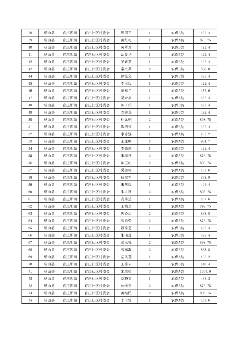
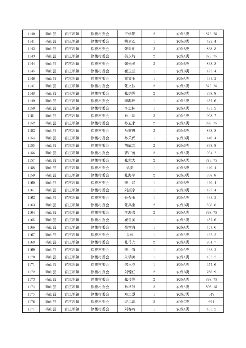
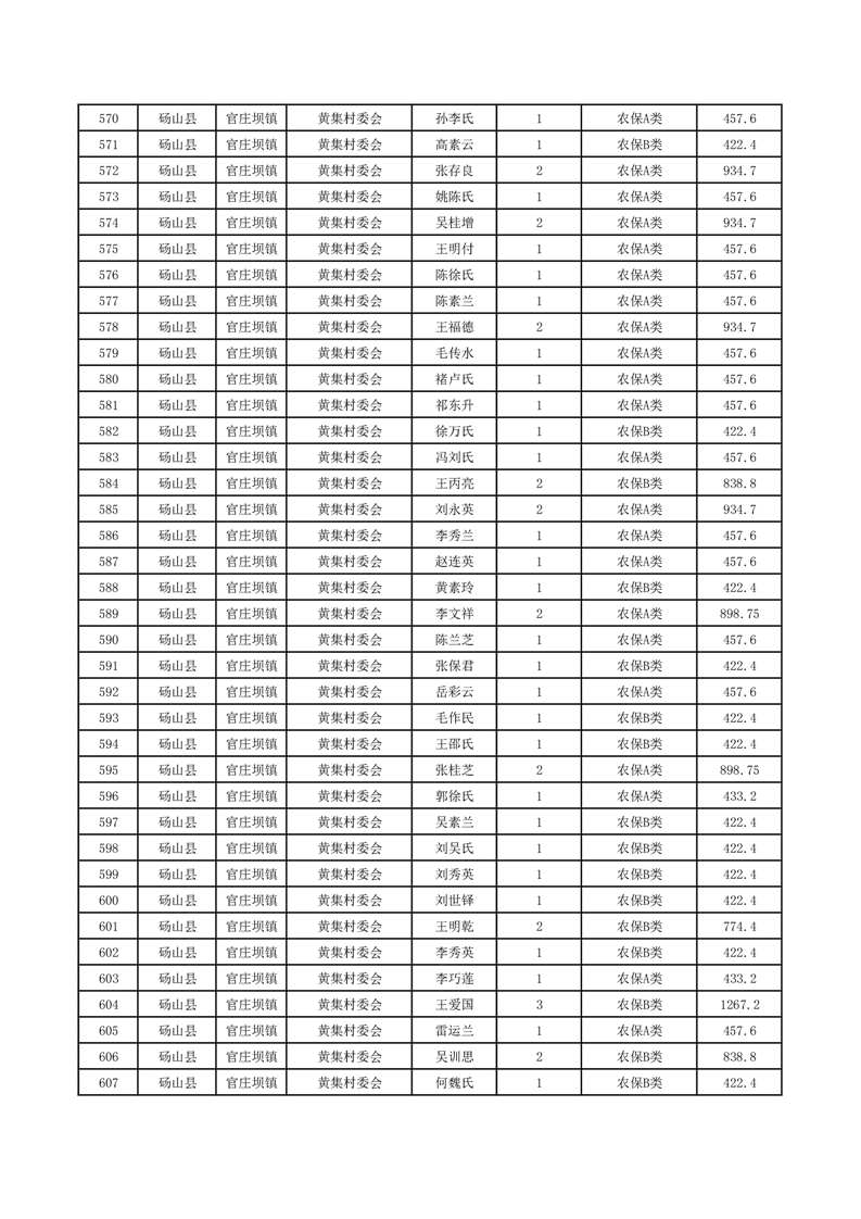
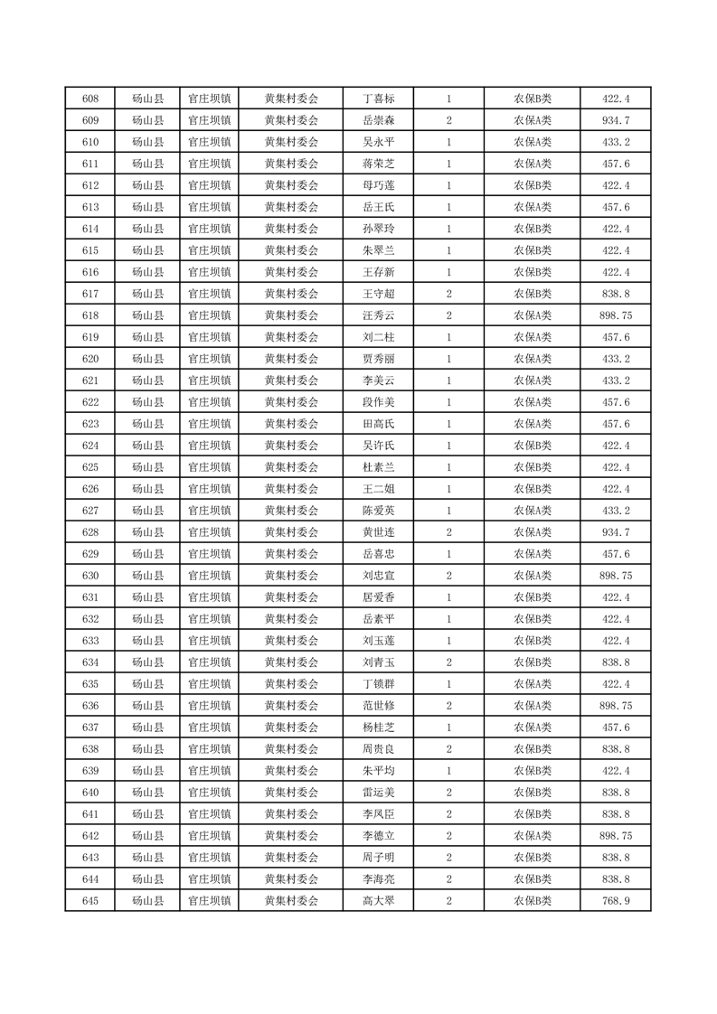
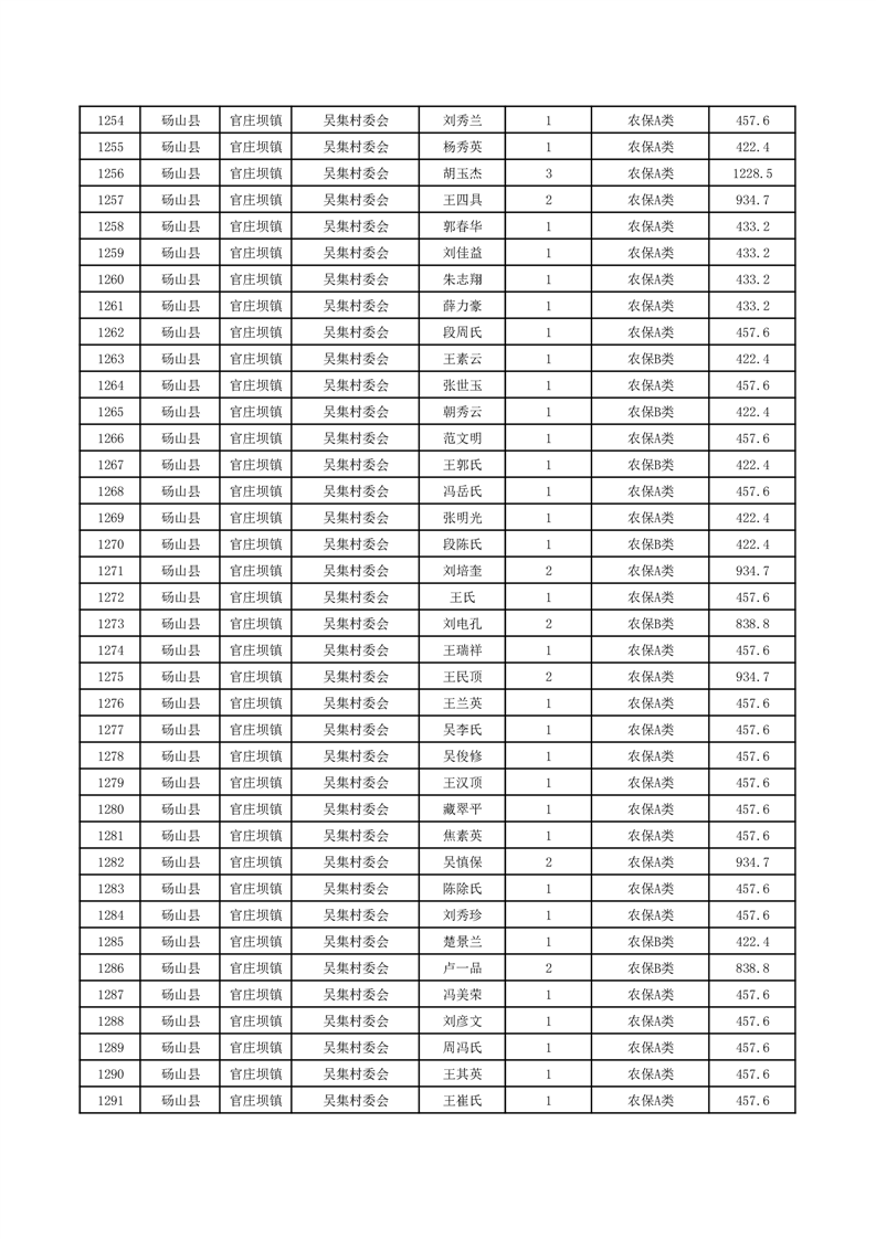
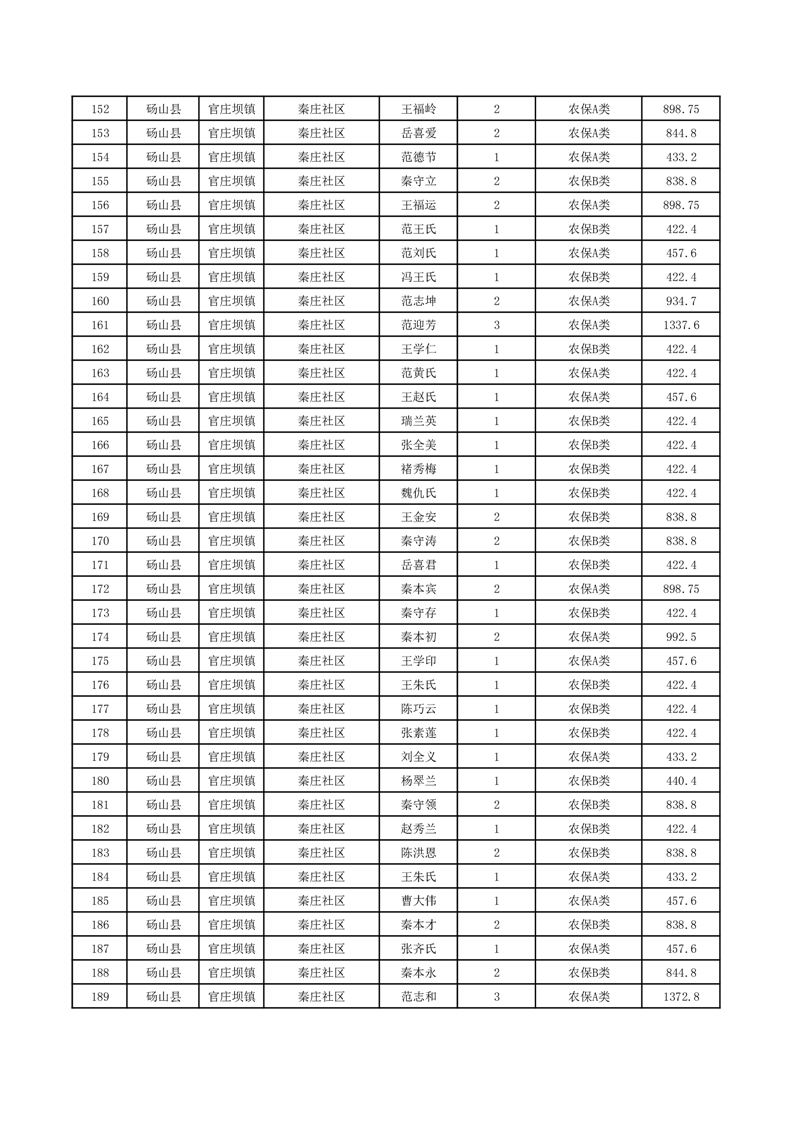
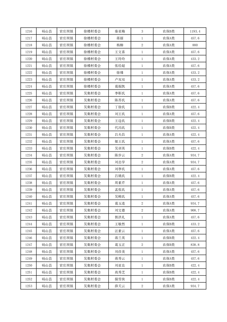
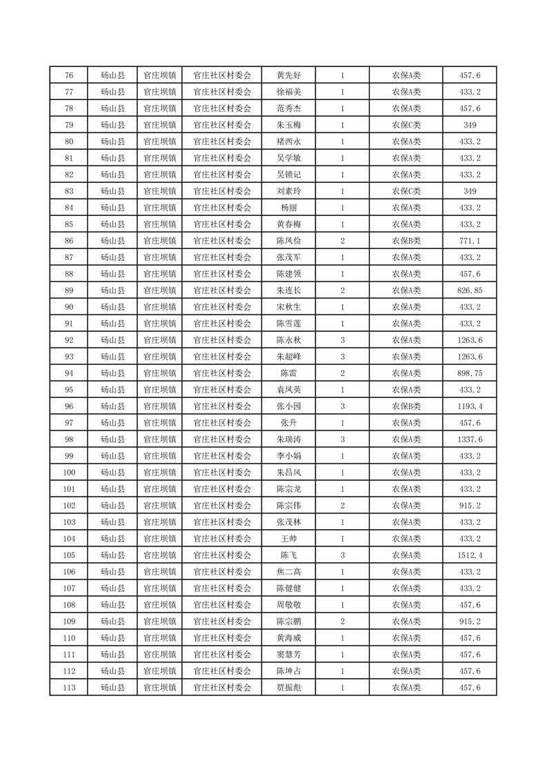
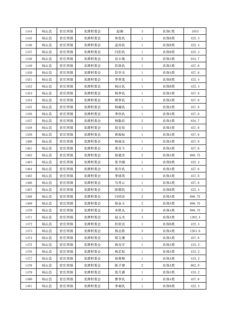
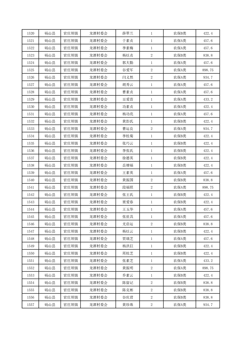
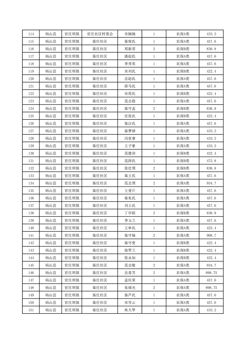
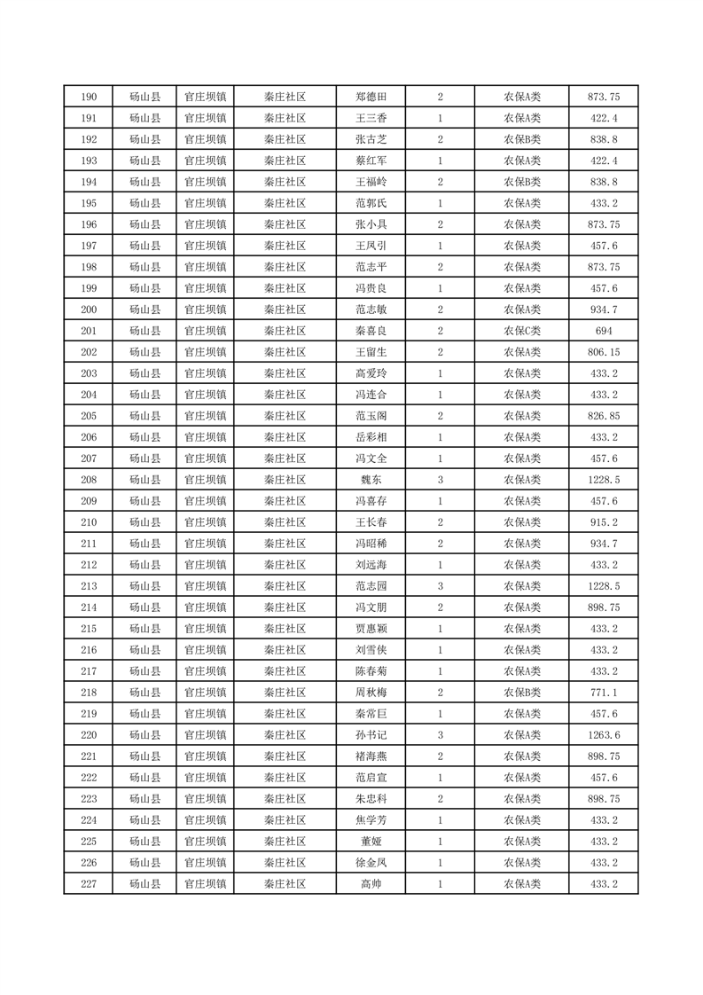
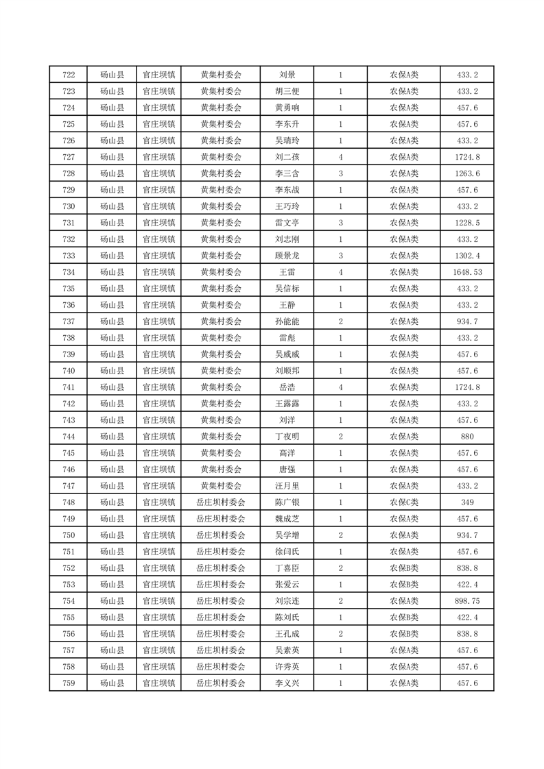
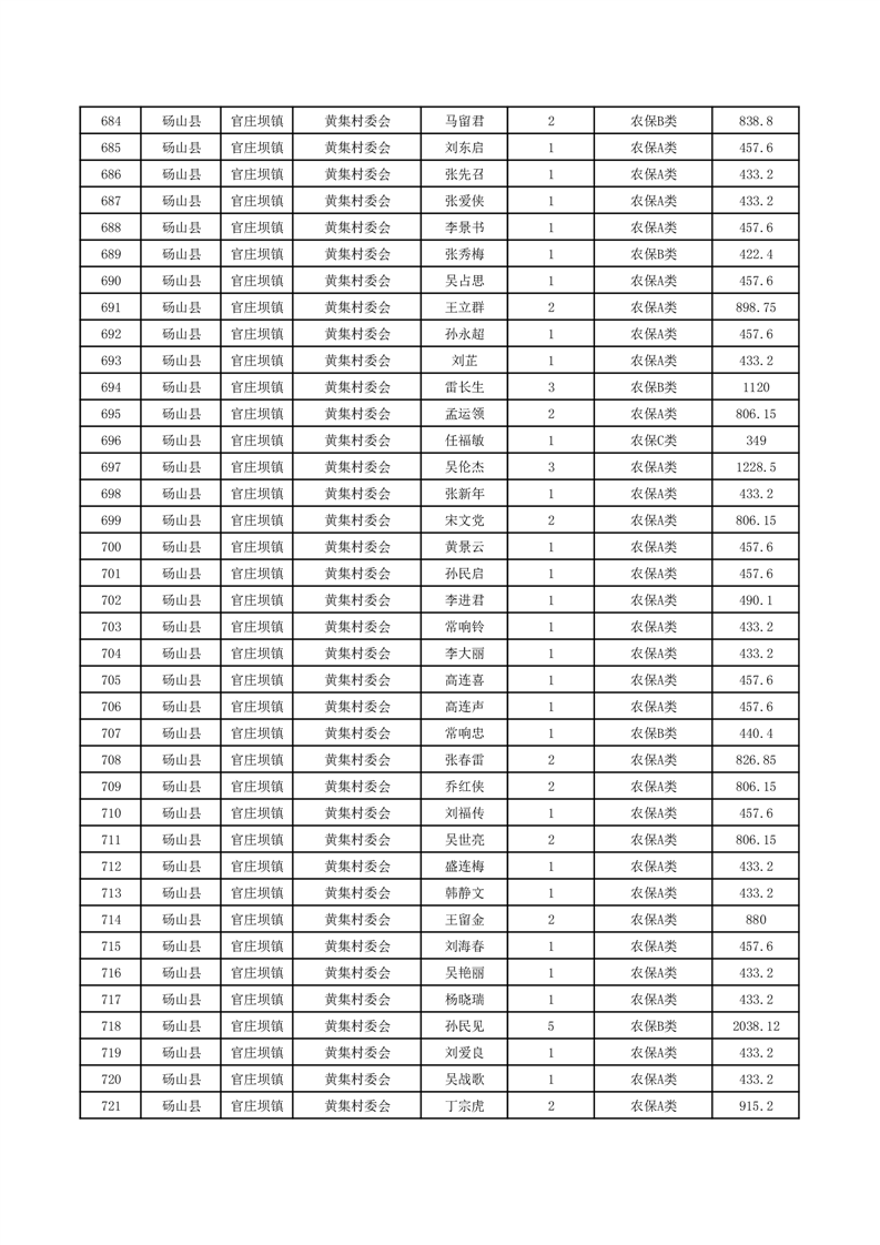
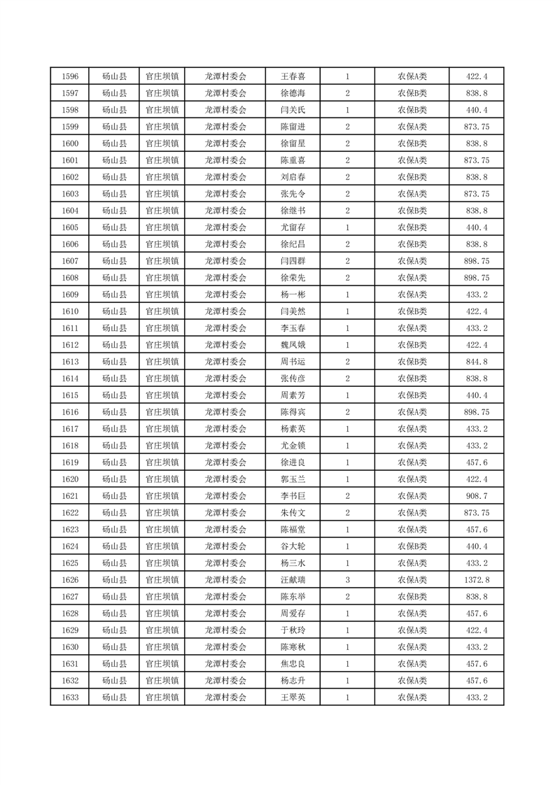
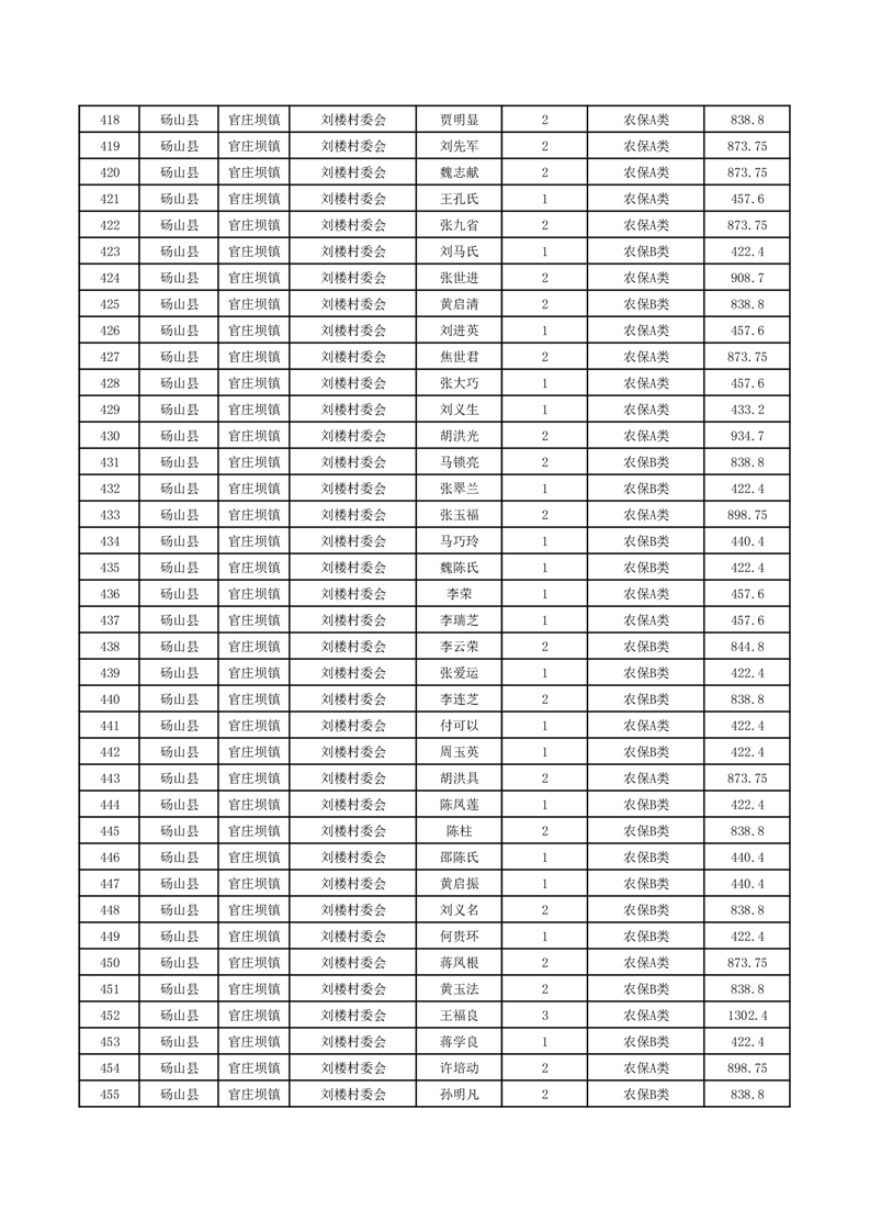
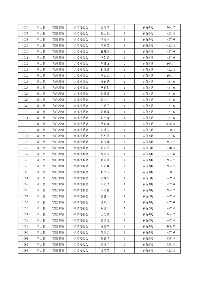
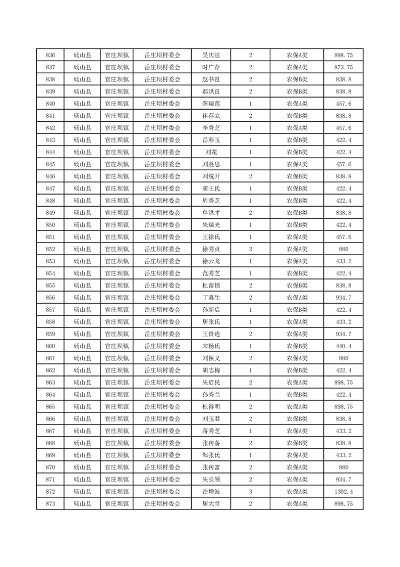
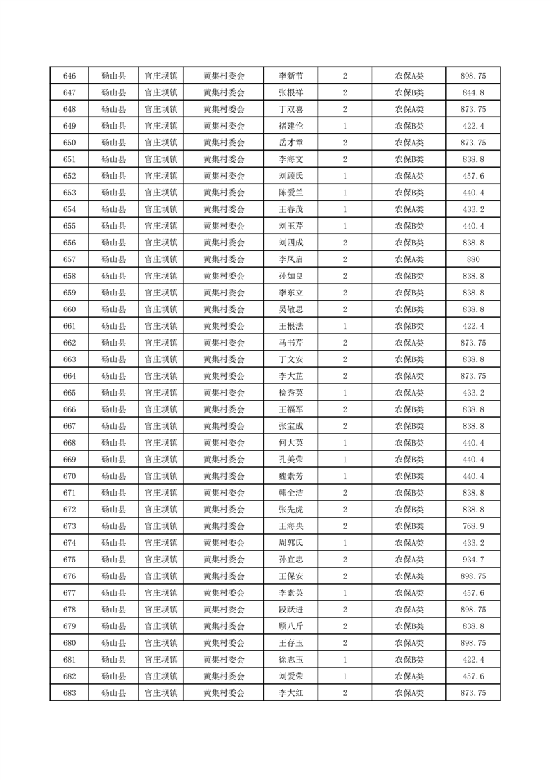
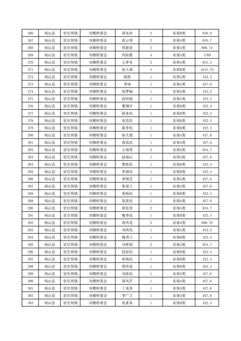
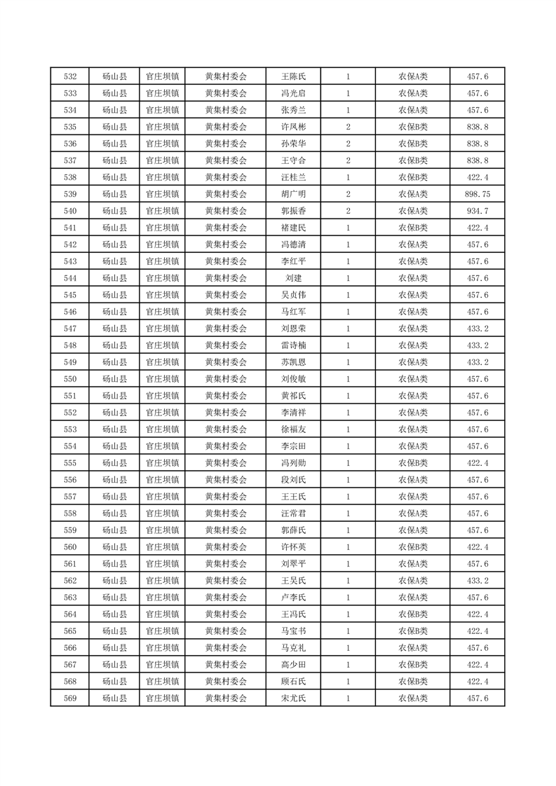
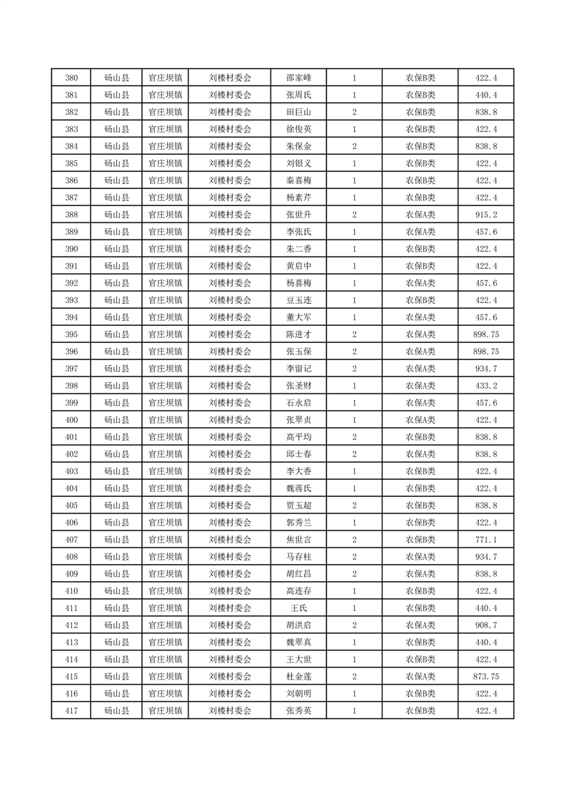
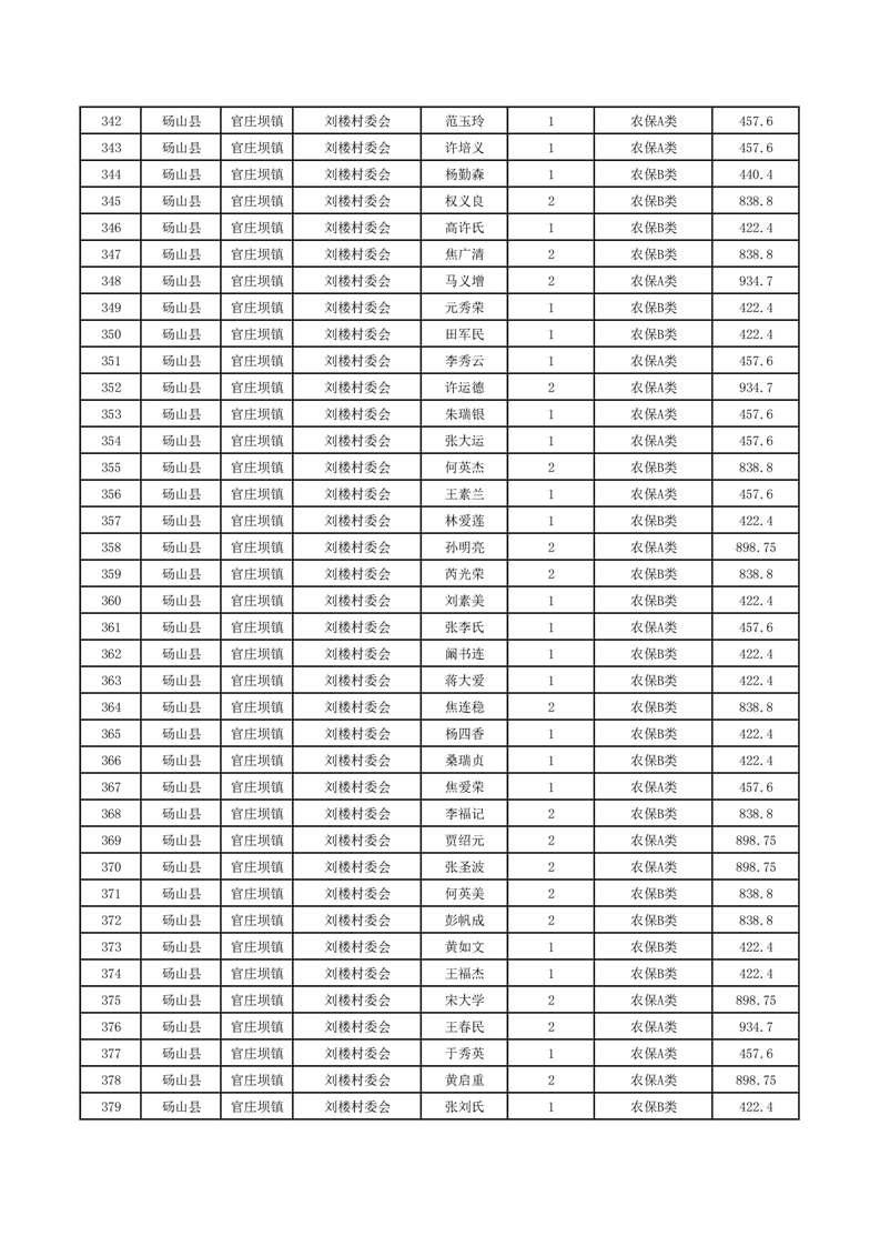
官庄坝镇2025年10月农村低保资金发放花名册
关
键
词:
官庄坝镇2025年10月农村低保资金发放花名册
文章来源: 官庄坝镇人民政府
浏览量:
发表时间:2025-11-13 10:32
字体大小:
【
大
中
小
】
扫一扫在手机打开当前页
打印本页
关闭窗口